Form ONRR-4295 Gas Transportation Allowance Report

Form ONRR-4295 Gas Transportation Allowance Report

What Is Form ONRR-4295?

This is a legal form that was released by the U.S. Department of the Interior - Office of Natural Resources Revenue on February 1, 2019 and used country-wide. As of today, no separate filing guidelines for the form are provided by the issuing department.

FAQ

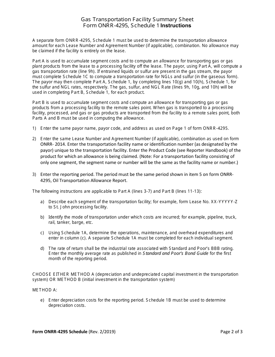
Q: What is the ONRR-4295 Gas Transportation Allowance Report?
A: The ONRR-4295 Gas Transportation Allowance Report is a form used to report gas transportation costs for royalty calculations.

Q: Who needs to file the ONRR-4295 Gas Transportation Allowance Report?
A: Gas companies transporting gas on Federal leases need to file the ONRR-4295 Gas Transportation Allowance Report.

Q: What is the purpose of the ONRR-4295 Gas Transportation Allowance Report?
A: The purpose of the ONRR-4295 Gas Transportation Allowance Report is to calculate and report transportation costs associated with the production and sale of gas from Federal leases.

Q: When should the ONRR-4295 Gas Transportation Allowance Report be filed?
A: The ONRR-4295 Gas Transportation Allowance Report should be filed on a monthly basis within 30 days after the end of the reporting month.

Q: Is the ONRR-4295 Gas Transportation Allowance Report required for gas transported on state or private leases?
A: No, the ONRR-4295 Gas Transportation Allowance Report is only required for gas transported on Federal leases.

Q: Are there any penalties for not filing the ONRR-4295 Gas Transportation Allowance Report?
A: Yes, failure to file the ONRR-4295 Gas Transportation Allowance Report or filing false or misleading information can result in penalties and enforcement actions.

ADVERTISEMENT

Form Details:

  • Released on February 1, 2019;
  • The latest available edition released by the U.S. Department of the Interior - Office of Natural Resources Revenue;
  • Easy to use and ready to print;
  • Yours to fill out and keep for your records;
  • Compatible with most PDF-viewing applications;
  • Fill out the form in our online filing application.

Download a fillable version of Form ONRR-4295 by clicking the link below or browse more documents and templates provided by the U.S. Department of the Interior - Office of Natural Resources Revenue.

Download Form ONRR-4295 Gas Transportation Allowance Report

4.6 of 5 (13 votes)
  • Form ONRR-4295 Gas Transportation Allowance Report

    1

  • Form ONRR-4295 Gas Transportation Allowance Report, Page 2

    2

  • Form ONRR-4295 Gas Transportation Allowance Report, Page 3

    3

  • Form ONRR-4295 Gas Transportation Allowance Report, Page 4

    4

  • Form ONRR-4295 Gas Transportation Allowance Report, Page 5

    5

  • Form ONRR-4295 Gas Transportation Allowance Report, Page 6

    6

  • Form ONRR-4295 Gas Transportation Allowance Report, Page 7

    7

  • Form ONRR-4295 Gas Transportation Allowance Report, Page 8

    8

  • Form ONRR-4295 Gas Transportation Allowance Report, Page 9

    9

  • Form ONRR-4295 Gas Transportation Allowance Report, Page 10

    10

  • Form ONRR-4295 Gas Transportation Allowance Report, Page 11

    11

  • Form ONRR-4295 Gas Transportation Allowance Report, Page 12

    12

  • Form ONRR-4295 Gas Transportation Allowance Report, Page 13

    13

  • Form ONRR-4295 Gas Transportation Allowance Report, Page 14

    14

  • Form ONRR-4295 Gas Transportation Allowance Report, Page 15

    15

  • Form ONRR-4295 Gas Transportation Allowance Report, Page 16

    16

  • Form ONRR-4295 Gas Transportation Allowance Report, Page 17

    17

  • Form ONRR-4295 Gas Transportation Allowance Report, Page 1
  • Form ONRR-4295 Gas Transportation Allowance Report, Page 2
  • Form ONRR-4295 Gas Transportation Allowance Report, Page 3
  • Form ONRR-4295 Gas Transportation Allowance Report, Page 4
  • Form ONRR-4295 Gas Transportation Allowance Report, Page 5
  • Form ONRR-4295 Gas Transportation Allowance Report, Page 6
  • Form ONRR-4295 Gas Transportation Allowance Report, Page 7
  • Form ONRR-4295 Gas Transportation Allowance Report, Page 8
  • Form ONRR-4295 Gas Transportation Allowance Report, Page 9
  • Form ONRR-4295 Gas Transportation Allowance Report, Page 10
  • Form ONRR-4295 Gas Transportation Allowance Report, Page 11
  • Form ONRR-4295 Gas Transportation Allowance Report, Page 12
  • Form ONRR-4295 Gas Transportation Allowance Report, Page 13
  • Form ONRR-4295 Gas Transportation Allowance Report, Page 14
  • Form ONRR-4295 Gas Transportation Allowance Report, Page 15
  • Form ONRR-4295 Gas Transportation Allowance Report, Page 16
  • Form ONRR-4295 Gas Transportation Allowance Report, Page 17
Prev 1 2 3 4 5 ... 17 Next
ADVERTISEMENT