Army
Business
Legal
Letters
Life
Real Estate
Tax
Wills
Blog
Upload
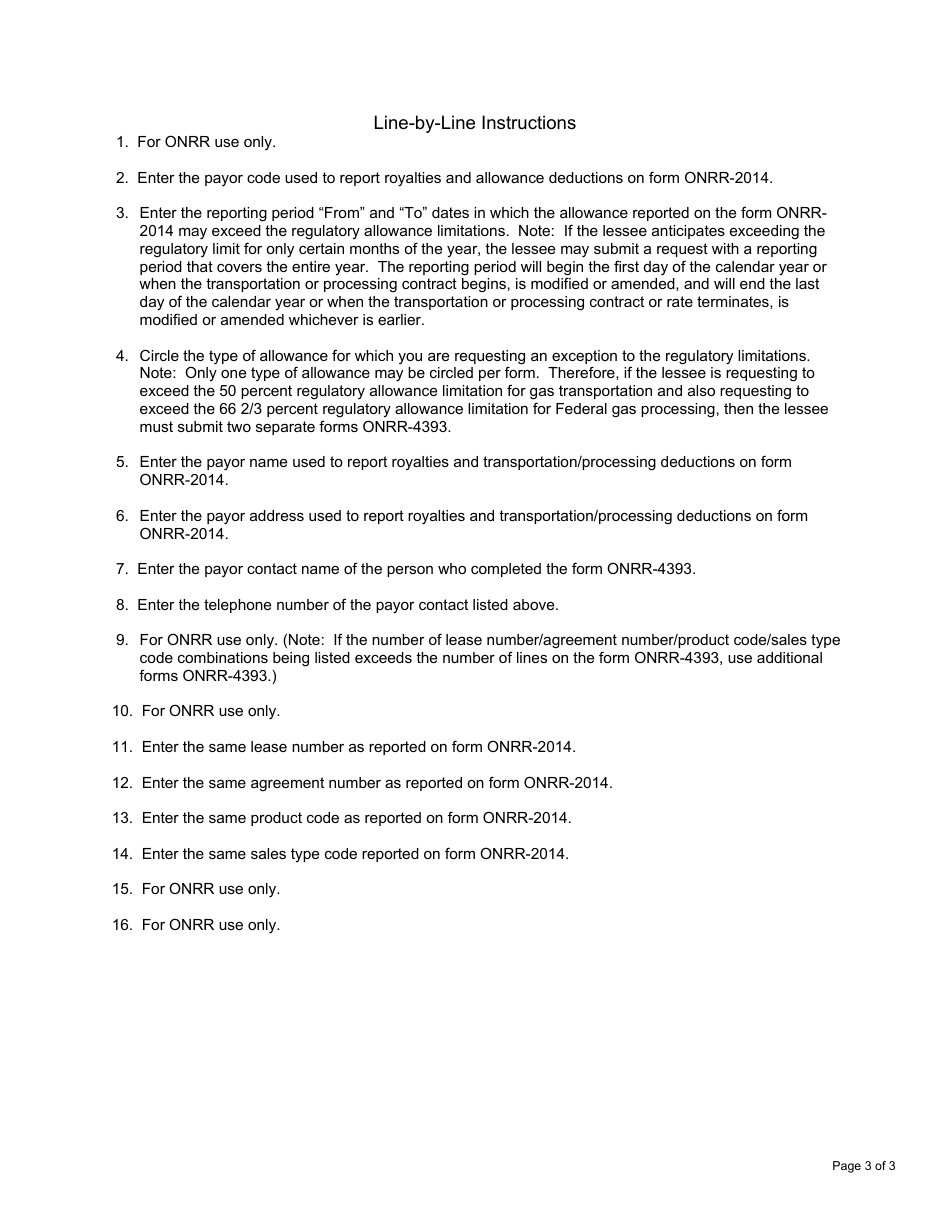
Form ONRR-4393 Request to Exceed Regulatory Allowance Limitation
Fill
PDF
Online
PDF
Word
Army
Business
Legal
Letters
Life
Real Estate
Tax
Wills
Blog
Upload
Home
Legal
United States Legal Forms
United States Federal Legal Forms
U.S. Department of the Interior
U.S. Department of the Interior - Office of Natural Resources Revenue
Form ONRR-4393 Request to Exceed Regulatory Allowance Limitation
Form ONRR-4393 Request to Exceed Regulatory Allowance Limitation
Preview
Fill
PDF
Online
PDF
Word
Fill PDF Online
Fill out online for free
without registration or credit card
ADVERTISEMENT
Download Form ONRR-4393 Request to Exceed Regulatory Allowance Limitation
4.3
of 5
(
21 votes
)
PDF
Word
Fill PDF Online
1
2
3
Prev
1
2
3
Next
ADVERTISEMENT
Linked Topics
Energy Resources
U.S. Department of the Interior - Office of Natural Resources Revenue
Natural Resources
U.S. Department of the Interior
Regulatory Compliance
United States Federal Legal Forms
Legal
United States Legal Forms
Preview
Fill
PDF
Online
PDF
Word
Related Documents
Vacation Request Form
Approved Absence Request/Tpt Request Form
Fmla Request Form
Credit Reference Request Form
Sponsorship Request Letter Template
Supply Request Form
Request for Quote Template
Request for Proposal (Rfp) Template
Sample Letter Requesting Medical Records
Gift Basket Request Form
Request for Proposals Acknowledgement of Receipt Form
Apartment Rental Verification Request Form
Employee Status Change Request Form
Maintenance Request Form - White
Maintenance Request Form - Grey
Donation Request Form - Ladyluck
Donation Request Form - Glace
Purchase Order Modification Request Form - Unlv
Purchase Order Request Form - Lines
Purchase Order Request Form - Greenland Schools