Form PCM219A Continuing Order for Mental Health Treatment - Michigan

Notification Icon This version of the form is not currently in use and is provided for reference only. Download this version of Form PCM219A for the current year.

Form PCM219A Continuing Order for Mental Health Treatment - Michigan

What Is Form PCM219A?

This is a legal form that was released by the Michigan Probate Court - a government authority operating within Michigan. As of today, no separate filing guidelines for the form are provided by the issuing department.

FAQ

Q: What is the purpose of form PCM219A?
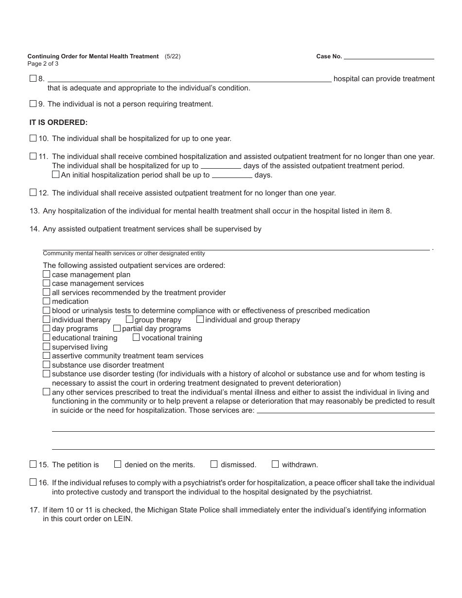
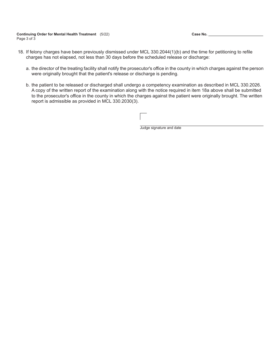
A: The purpose of form PCM219A is to establish a continuing order for mental health treatment in Michigan.

Q: Who is required to complete form PCM219A?
A: Form PCM219A needs to be completed by a qualified mental health professional.

Q: What information is required on form PCM219A?
A: Form PCM219A requires the patient's demographic information, clinical diagnosis, treatment recommendations, and the signature of the qualified mental health professional.

Q: What is the validity period of form PCM219A?
A: Form PCM219A is valid for up to 6 months, or a shorter period specified by the qualified mental health professional.

Q: Can form PCM219A be modified or revoked?
A: Yes, form PCM219A can be modified or revoked by the qualified mental health professional who issued it.

ADVERTISEMENT

Form Details:

  • Released on May 1, 2022;
  • The latest edition provided by the Michigan Probate Court;
  • Easy to use and ready to print;
  • Quick to customize;
  • Compatible with most PDF-viewing applications;
  • Fill out the form in our online filing application.

Download a fillable version of Form PCM219A by clicking the link below or browse more documents and templates provided by the Michigan Probate Court.

Download Form PCM219A Continuing Order for Mental Health Treatment - Michigan

4.3 of 5 (26 votes)
  • Form PCM219A Continuing Order for Mental Health Treatment - Michigan

    1

  • Form PCM219A Continuing Order for Mental Health Treatment - Michigan, Page 2

    2

  • Form PCM219A Continuing Order for Mental Health Treatment - Michigan, Page 3

    3

  • Form PCM219A Continuing Order for Mental Health Treatment - Michigan, Page 1
  • Form PCM219A Continuing Order for Mental Health Treatment - Michigan, Page 2
  • Form PCM219A Continuing Order for Mental Health Treatment - Michigan, Page 3
Prev 1 2 3 Next
ADVERTISEMENT

Related Documents