License Application for Limited Liability Company (LLC), Corporation, or Trust (Residential, Commercial or Dual Endorsement) - Oregon

Notification Icon This version of the form is not currently in use and is provided for reference only. Download this version of the document for the current year.

License Application for Limited Liability Company (LLC), Corporation, or Trust (Residential, Commercial or Dual Endorsement) - Oregon

License Application for Limited Liability Company (LLC), Corporation, or Trust (Residential, Commercial or Dual Endorsement) is a legal document that was released by the Oregon Construction Contractors Board - a government authority operating within Oregon.

FAQ

Q: What is a Limited Liability Company (LLC)?
A: A Limited Liability Company (LLC) is a type of business structure that combines the pass-through taxation of a partnership or sole proprietorship with the limited liability of a corporation.

Q: What is a Corporation?
A: A corporation is a legal entity that is separate from its owners, known as shareholders. It has its own rights, privileges, and liabilities apart from those of its shareholders.

Q: What is a Trust?
A: A trust is a legal arrangement where property or assets are held by a trustee on behalf of beneficiaries. It is commonly used for estate planning or to manage assets for minor children.

Q: What is a residential endorsement?
A: A residential endorsement is an additional license that allows a business to provide services specifically related to residential real estate.

Q: What is a commercial endorsement?
A: A commercial endorsement is an additional license that allows a business to provide services specifically related to commercial real estate.

Q: What is a dual endorsement?
A: A dual endorsement is a combined license that allows a business to provide services related to both residential and commercial real estate.

Q: Who can apply for a license?
A: Any individual or entity that meets the requirements can apply for a license.

Q: What are the requirements for applying for a license?
A: The specific requirements vary depending on the type of entity and the kind of endorsement requested. It's best to consult the licensing authority or refer to the application form for detailed requirements.

Q: How do I apply for a license?
A: You can apply for a license by completing the appropriate application form and submitting it to the licensing authority along with any required documents and fees.

Q: How long does it take to process the license application?
A: The processing time may vary, but it generally takes several weeks to process a license application. It's advisable to submit the application well in advance of when you need the license.

Q: What happens after the license application is approved?
A: Once the license application is approved, you will receive your license. You will then be able to legally operate your business in accordance with the terms and conditions of the license.

Q: What happens if my license application is denied?
A: If your license application is denied, you will receive a notice explaining the reasons for the denial. You may have the opportunity to appeal the decision or reapply after addressing any deficiencies.

Q: Can I operate my business without a license?
A: No, it is generally illegal to operate a business without the required license. It's important to obtain the necessary licenses and comply with all applicable laws and regulations.

ADVERTISEMENT

Form Details:

  • Released on September 1, 2022;
  • The latest edition currently provided by the Oregon Construction Contractors Board;
  • Ready to use and print;
  • Easy to customize;
  • Compatible with most PDF-viewing applications;
  • Fill out the form in our online filing application.

Download a fillable version of the form by clicking the link below or browse more documents and templates provided by the Oregon Construction Contractors Board.

Download License Application for Limited Liability Company (LLC), Corporation, or Trust (Residential, Commercial or Dual Endorsement) - Oregon

4.5 of 5 (35 votes)
  • License Application for Limited Liability Company (LLC), Corporation, or Trust (Residential, Commercial or Dual Endorsement) - Oregon

    1

  • License Application for Limited Liability Company (LLC), Corporation, or Trust (Residential, Commercial or Dual Endorsement) - Oregon, Page 2

    2

  • License Application for Limited Liability Company (LLC), Corporation, or Trust (Residential, Commercial or Dual Endorsement) - Oregon, Page 3

    3

  • License Application for Limited Liability Company (LLC), Corporation, or Trust (Residential, Commercial or Dual Endorsement) - Oregon, Page 4

    4

  • License Application for Limited Liability Company (LLC), Corporation, or Trust (Residential, Commercial or Dual Endorsement) - Oregon, Page 5

    5

  • License Application for Limited Liability Company (LLC), Corporation, or Trust (Residential, Commercial or Dual Endorsement) - Oregon, Page 6

    6

  • License Application for Limited Liability Company (LLC), Corporation, or Trust (Residential, Commercial or Dual Endorsement) - Oregon, Page 7

    7

  • License Application for Limited Liability Company (LLC), Corporation, or Trust (Residential, Commercial or Dual Endorsement) - Oregon, Page 8

    8

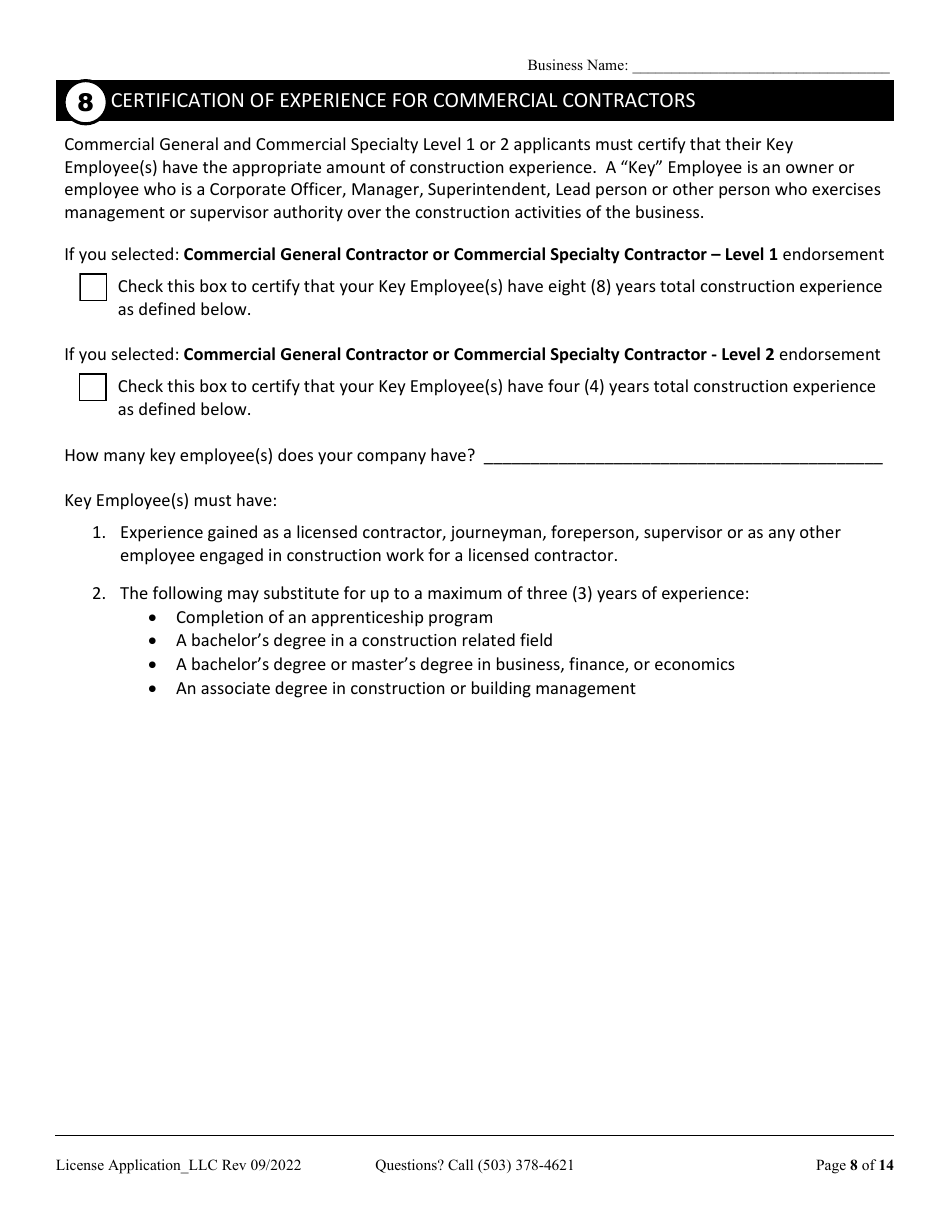
  • License Application for Limited Liability Company (LLC), Corporation, or Trust (Residential, Commercial or Dual Endorsement) - Oregon, Page 9

    9

  • License Application for Limited Liability Company (LLC), Corporation, or Trust (Residential, Commercial or Dual Endorsement) - Oregon, Page 10

    10

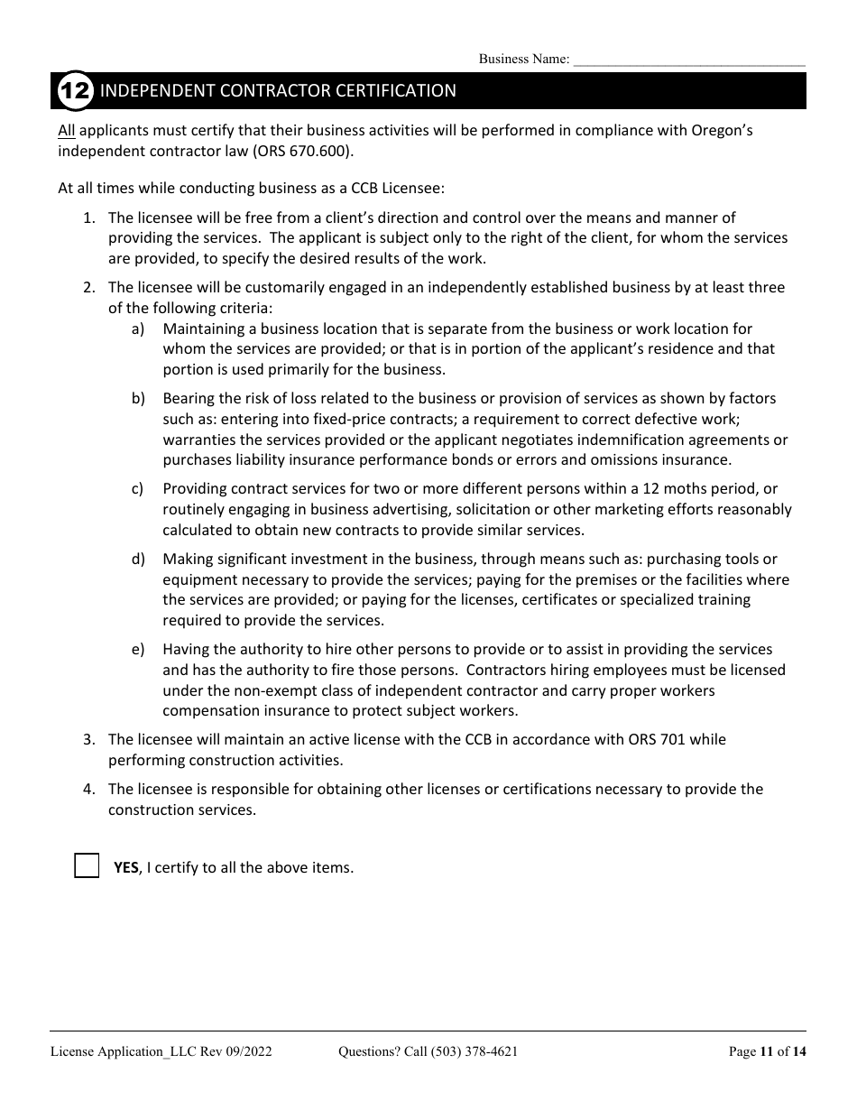
  • License Application for Limited Liability Company (LLC), Corporation, or Trust (Residential, Commercial or Dual Endorsement) - Oregon, Page 11

    11

  • License Application for Limited Liability Company (LLC), Corporation, or Trust (Residential, Commercial or Dual Endorsement) - Oregon, Page 12

    12

  • License Application for Limited Liability Company (LLC), Corporation, or Trust (Residential, Commercial or Dual Endorsement) - Oregon, Page 13

    13

  • License Application for Limited Liability Company (LLC), Corporation, or Trust (Residential, Commercial or Dual Endorsement) - Oregon, Page 14

    14

  • License Application for Limited Liability Company (LLC), Corporation, or Trust (Residential, Commercial or Dual Endorsement) - Oregon, Page 1
  • License Application for Limited Liability Company (LLC), Corporation, or Trust (Residential, Commercial or Dual Endorsement) - Oregon, Page 2
  • License Application for Limited Liability Company (LLC), Corporation, or Trust (Residential, Commercial or Dual Endorsement) - Oregon, Page 3
  • License Application for Limited Liability Company (LLC), Corporation, or Trust (Residential, Commercial or Dual Endorsement) - Oregon, Page 4
  • License Application for Limited Liability Company (LLC), Corporation, or Trust (Residential, Commercial or Dual Endorsement) - Oregon, Page 5
  • License Application for Limited Liability Company (LLC), Corporation, or Trust (Residential, Commercial or Dual Endorsement) - Oregon, Page 6
  • License Application for Limited Liability Company (LLC), Corporation, or Trust (Residential, Commercial or Dual Endorsement) - Oregon, Page 7
  • License Application for Limited Liability Company (LLC), Corporation, or Trust (Residential, Commercial or Dual Endorsement) - Oregon, Page 8
  • License Application for Limited Liability Company (LLC), Corporation, or Trust (Residential, Commercial or Dual Endorsement) - Oregon, Page 9
  • License Application for Limited Liability Company (LLC), Corporation, or Trust (Residential, Commercial or Dual Endorsement) - Oregon, Page 10
  • License Application for Limited Liability Company (LLC), Corporation, or Trust (Residential, Commercial or Dual Endorsement) - Oregon, Page 11
  • License Application for Limited Liability Company (LLC), Corporation, or Trust (Residential, Commercial or Dual Endorsement) - Oregon, Page 12
  • License Application for Limited Liability Company (LLC), Corporation, or Trust (Residential, Commercial or Dual Endorsement) - Oregon, Page 13
  • License Application for Limited Liability Company (LLC), Corporation, or Trust (Residential, Commercial or Dual Endorsement) - Oregon, Page 14
Prev 1 2 3 4 5 ... 14 Next
ADVERTISEMENT

Related Documents