Form TTD / FTB-015 Annual Mobile Catering Company Exemption Application for Transport Refrigeration Units - California

Form TTD / FTB-015 Annual Mobile Catering Company Exemption Application for Transport Refrigeration Units - California

What Is Form TTD/FTB-015?

This is a legal form that was released by the California Air Resources Board - a government authority operating within California. As of today, no separate filing guidelines for the form are provided by the issuing department.

FAQ

Q: What is form TTD/FTB-015?
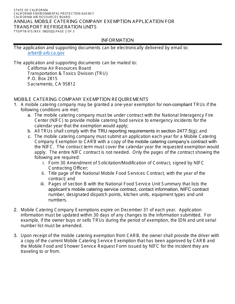
A: Form TTD/FTB-015 is the Annual Mobile Catering Company Exemption Application for Transport Refrigeration Units in California.

Q: What is the purpose of form TTD/FTB-015?
A: The purpose of form TTD/FTB-015 is to apply for an exemption for transport refrigeration units for mobile catering companies in California.

Q: Who needs to fill out form TTD/FTB-015?
A: Mobile catering companies in California need to fill out form TTD/FTB-015.

Q: What is the exemption for transport refrigeration units?
A: The exemption for transport refrigeration units allows mobile catering companies in California to operate without meeting the emissions requirements for these units.

Q: How often is form TTD/FTB-015 required to be filed?
A: Form TTD/FTB-015 needs to be filed annually by mobile catering companies in California.

ADVERTISEMENT

Form Details:

  • Released on August 1, 2022;
  • The latest edition provided by the California Air Resources Board;
  • Easy to use and ready to print;
  • Quick to customize;
  • Compatible with most PDF-viewing applications;
  • Fill out the form in our online filing application.

Download a fillable version of Form TTD/FTB-015 by clicking the link below or browse more documents and templates provided by the California Air Resources Board.

Download Form TTD / FTB-015 Annual Mobile Catering Company Exemption Application for Transport Refrigeration Units - California

4.3 of 5 (24 votes)
  • Form TTD/FTB-015 Annual Mobile Catering Company Exemption Application for Transport Refrigeration Units - California

    1

  • Form TTD/FTB-015 Annual Mobile Catering Company Exemption Application for Transport Refrigeration Units - California, Page 2

    2

  • Form TTD/FTB-015 Annual Mobile Catering Company Exemption Application for Transport Refrigeration Units - California, Page 3

    3

  • Form TTD / FTB-015 Annual Mobile Catering Company Exemption Application for Transport Refrigeration Units - California, Page 1
  • Form TTD / FTB-015 Annual Mobile Catering Company Exemption Application for Transport Refrigeration Units - California, Page 2
  • Form TTD / FTB-015 Annual Mobile Catering Company Exemption Application for Transport Refrigeration Units - California, Page 3
Prev 1 2 3 Next
ADVERTISEMENT