Form PSRS-8 Application for Retirement - Pennsylvania

Notification Icon This version of the form is not currently in use and is provided for reference only. Download this version of Form PSRS-8 for the current year.

Form PSRS-8 Application for Retirement - Pennsylvania

What Is Form PSRS-8?

This is a legal form that was released by the Pennsylvania Public School Employees' Retirement System - a government authority operating within Pennsylvania. As of today, no separate filing guidelines for the form are provided by the issuing department.

FAQ

Q: What is Form PSRS-8?
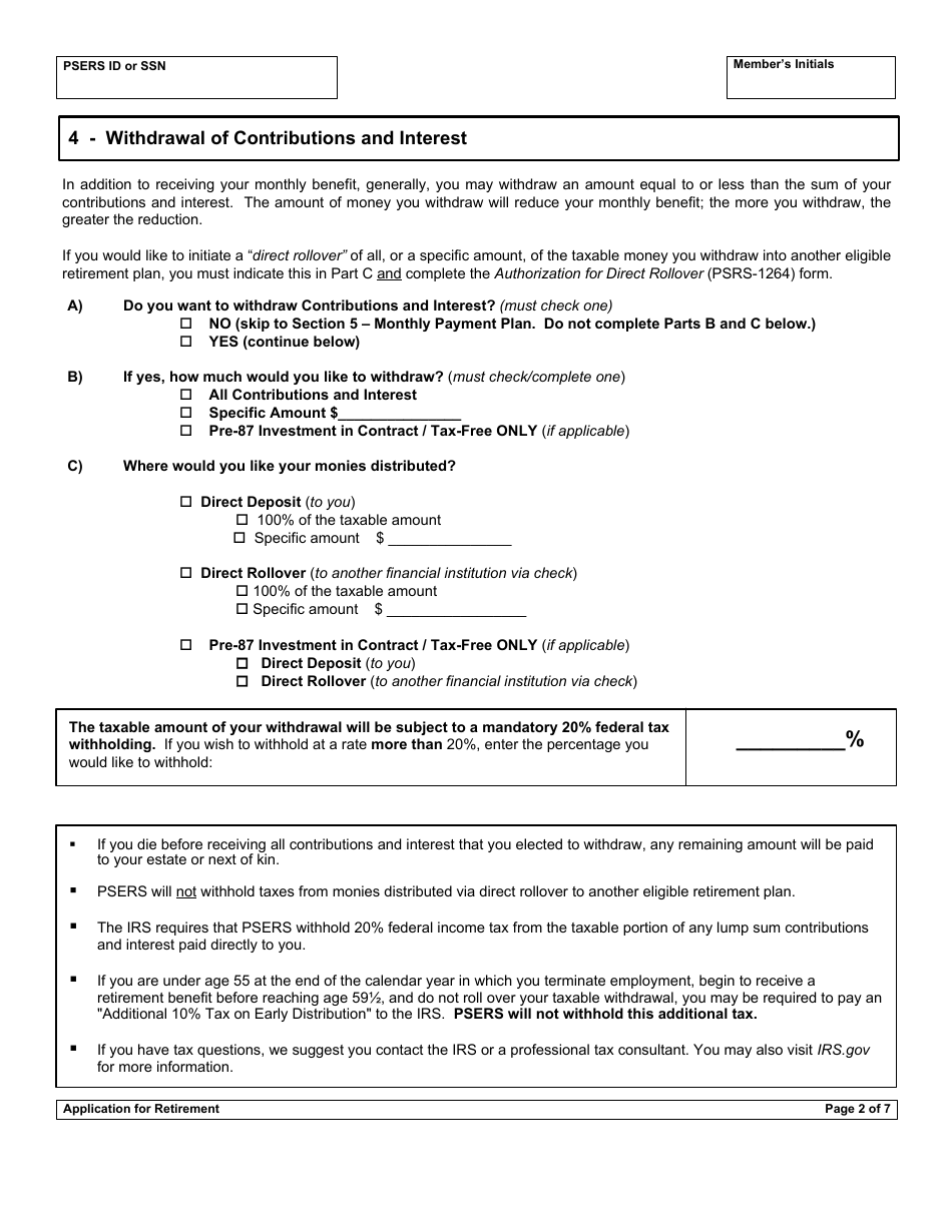
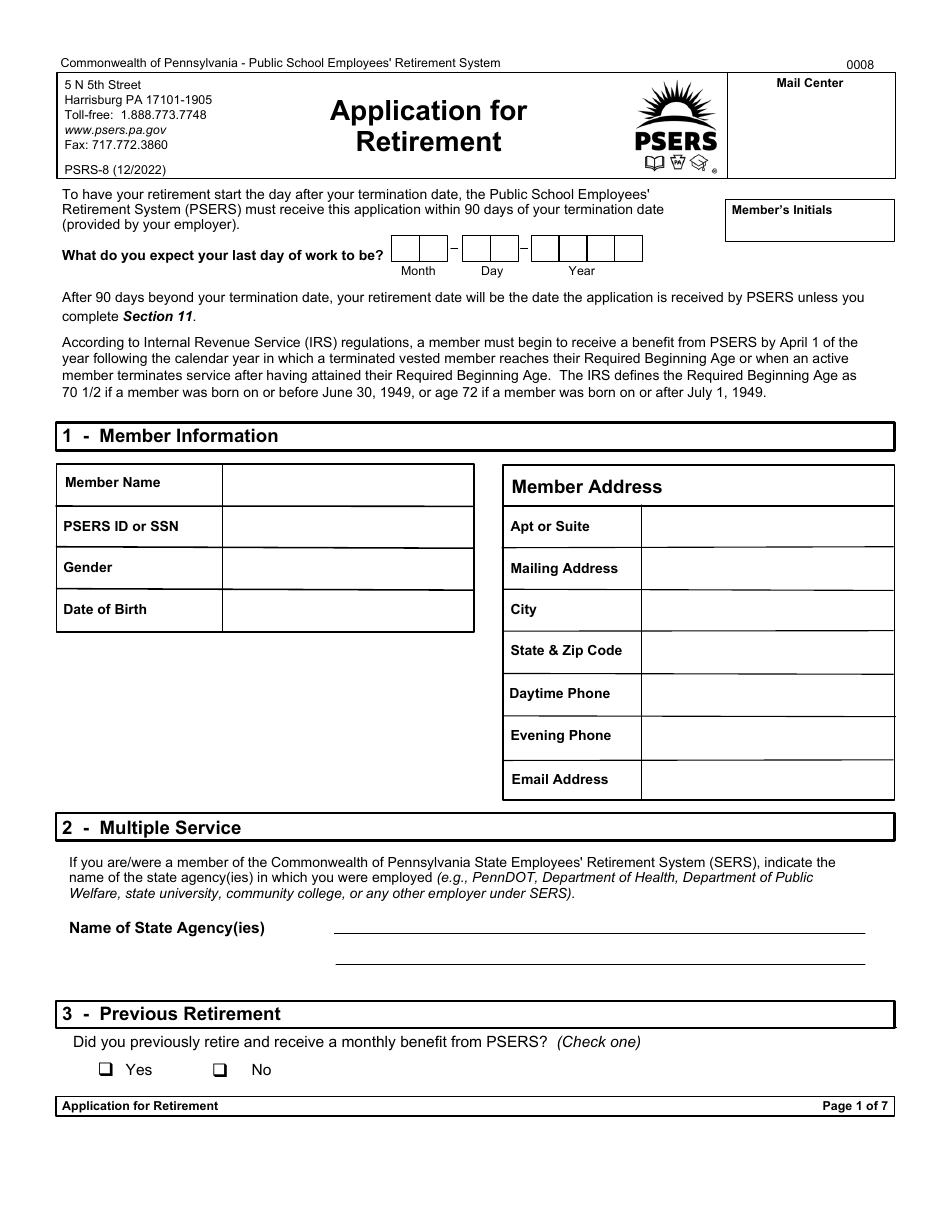
A: Form PSRS-8 is an application for retirement in Pennsylvania.

Q: Who can use Form PSRS-8?
A: Form PSRS-8 can be used by public school employees in Pennsylvania.

Q: What is the purpose of Form PSRS-8?
A: The purpose of Form PSRS-8 is to apply for retirement benefits.

Q: What information is required on Form PSRS-8?
A: Form PSRS-8 requires personal information, employment history, and retirement plan details.

Q: How do I submit Form PSRS-8?
A: Form PSRS-8 should be mailed or submitted to the PSERS office.

Q: Are there any fees associated with Form PSRS-8?
A: There are no fees associated with submitting Form PSRS-8.

Q: Can I make changes to Form PSRS-8 after submitting?
A: Yes, changes can be made to Form PSRS-8 within a specified time frame.

Q: When should I submit Form PSRS-8?
A: Form PSRS-8 should be submitted at least 90 days before your desired retirement date.

ADVERTISEMENT

Form Details:

  • Released on December 1, 2022;
  • The latest edition provided by the Pennsylvania Public School Employees' Retirement System;
  • Easy to use and ready to print;
  • Quick to customize;
  • Compatible with most PDF-viewing applications;
  • Fill out the form in our online filing application.

Download a printable version of Form PSRS-8 by clicking the link below or browse more documents and templates provided by the Pennsylvania Public School Employees' Retirement System.

Download Form PSRS-8 Application for Retirement - Pennsylvania

4.6 of 5 (12 votes)
  • Form PSRS-8 Application for Retirement - Pennsylvania

    1

  • Form PSRS-8 Application for Retirement - Pennsylvania, Page 2

    2

  • Form PSRS-8 Application for Retirement - Pennsylvania, Page 3

    3

  • Form PSRS-8 Application for Retirement - Pennsylvania, Page 4

    4

  • Form PSRS-8 Application for Retirement - Pennsylvania, Page 5

    5

  • Form PSRS-8 Application for Retirement - Pennsylvania, Page 6

    6

  • Form PSRS-8 Application for Retirement - Pennsylvania, Page 7

    7

  • Form PSRS-8 Application for Retirement - Pennsylvania, Page 8

    8

  • Form PSRS-8 Application for Retirement - Pennsylvania, Page 9

    9

  • Form PSRS-8 Application for Retirement - Pennsylvania, Page 1
  • Form PSRS-8 Application for Retirement - Pennsylvania, Page 2
  • Form PSRS-8 Application for Retirement - Pennsylvania, Page 3
  • Form PSRS-8 Application for Retirement - Pennsylvania, Page 4
  • Form PSRS-8 Application for Retirement - Pennsylvania, Page 5
  • Form PSRS-8 Application for Retirement - Pennsylvania, Page 6
  • Form PSRS-8 Application for Retirement - Pennsylvania, Page 7
  • Form PSRS-8 Application for Retirement - Pennsylvania, Page 8
  • Form PSRS-8 Application for Retirement - Pennsylvania, Page 9
Prev 1 2 3 4 5 ... 9 Next
ADVERTISEMENT