Inspection of Public Records Request Form - New Mexico

Inspection of Public Records Request Form - New Mexico

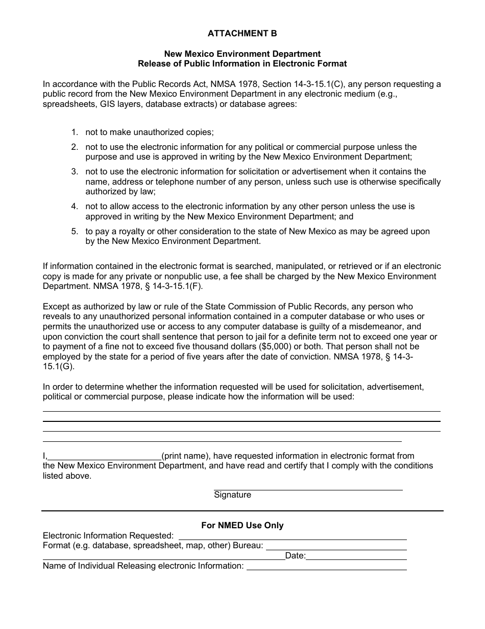
Inspection of Public Records Request Form is a legal document that was released by the New Mexico Environment Department - a government authority operating within New Mexico.

FAQ

Q: What is an Inspection of Public Records Request Form?
A: An Inspection of Public Records Request Form is a form used to request access to public records in New Mexico.

Q: What information should I include in the form?
A: You should include your contact information and a clear description of the records you are requesting.

Q: Do I need to provide a reason for my request?
A: No, you do not need to provide a reason for your request.

Q: Is there a fee for requesting public records?
A: There may be a fee for the production of the records, but the agency must provide an itemized list of all fees before proceeding with the request.

Q: How long does the agency have to respond to my request?
A: The agency has three business days to respond to your request.

Q: What if the agency denies my request?
A: If the agency denies your request, you have the right to appeal the decision to the New Mexico Attorney General's Office.

Q: Are there any exceptions to the right to access public records?
A: Yes, there are certain exceptions that may allow the agency to withhold or redact certain information from the public records.

Q: Can I inspect the records in person?
A: Yes, you have the right to inspect the records in person at a reasonable time and place.

Q: Can I request copies of the records?
A: Yes, you can request copies of the records, but there may be a fee for the production of the copies.

ADVERTISEMENT

Form Details:

  • The latest edition currently provided by the New Mexico Environment Department;
  • Ready to use and print;
  • Easy to customize;
  • Compatible with most PDF-viewing applications;
  • Fill out the form in our online filing application.

Download a printable version of the form by clicking the link below or browse more documents and templates provided by the New Mexico Environment Department.

Download Inspection of Public Records Request Form - New Mexico

4.6 of 5 (12 votes)
  • Inspection of Public Records Request Form - New Mexico

    1

  • Inspection of Public Records Request Form - New Mexico, Page 2

    2

  • Inspection of Public Records Request Form - New Mexico, Page 3

    3

  • Inspection of Public Records Request Form - New Mexico, Page 1
  • Inspection of Public Records Request Form - New Mexico, Page 2
  • Inspection of Public Records Request Form - New Mexico, Page 3
Prev 1 2 3 Next
ADVERTISEMENT