Form N-14 (SEC Form 2106) Registration Statement Under the Securities Act of 1933

Notification Icon This version of the form is not currently in use and is provided for reference only. Download this version of Form N-14 (SEC Form 2106) for the current year.

Form N-14 (SEC Form 2106) Registration Statement Under the Securities Act of 1933

What Is Form N-14 (SEC Form 2106)?

This is a legal form that was released by the U.S. Securities and Exchange Commission on March 1, 2022 and used country-wide. As of today, no separate filing guidelines for the form are provided by the issuing department.

FAQ

Q: What is Form N-14?
A: Form N-14 is a registration statement filed under the Securities Act of 1933.

Q: What is SEC Form 2106?
A: SEC Form 2106 is the official form number for Form N-14.

Q: What is the Securities Act of 1933?
A: The Securities Act of 1933 is a federal law that regulates the offering and sale of securities.

Q: Who needs to file Form N-14?
A: Companies that are offering securities to the public need to file Form N-14.

Q: What information is required in Form N-14?
A: Form N-14 requires information about the company offering securities, the securities being offered, and other relevant details.

Q: Is Form N-14 the same as Form 10-K?
A: No, Form N-14 is different from Form 10-K. Form N-14 is specifically for securities offerings, while Form 10-K is an annual report filed by public companies.

Q: Are there any filing fees for Form N-14?
A: Yes, there are filing fees associated with Form N-14. The amount depends on the value of securities being offered.

ADVERTISEMENT

Form Details:

  • Released on March 1, 2022;
  • The latest available edition released by the U.S. Securities and Exchange Commission;
  • Easy to use and ready to print;
  • Yours to fill out and keep for your records;
  • Compatible with most PDF-viewing applications;
  • Fill out the form in our online filing application.

Download a printable version of Form N-14 (SEC Form 2106) by clicking the link below or browse more documents and templates provided by the U.S. Securities and Exchange Commission.

Download Form N-14 (SEC Form 2106) Registration Statement Under the Securities Act of 1933

4.5 of 5 (27 votes)
  • Form N-14 (SEC Form 2106) Registration Statement Under the Securities Act of 1933

    1

  • Form N-14 (SEC Form 2106) Registration Statement Under the Securities Act of 1933, Page 2

    2

  • Form N-14 (SEC Form 2106) Registration Statement Under the Securities Act of 1933, Page 3

    3

  • Form N-14 (SEC Form 2106) Registration Statement Under the Securities Act of 1933, Page 4

    4

  • Form N-14 (SEC Form 2106) Registration Statement Under the Securities Act of 1933, Page 5

    5

  • Form N-14 (SEC Form 2106) Registration Statement Under the Securities Act of 1933, Page 6

    6

  • Form N-14 (SEC Form 2106) Registration Statement Under the Securities Act of 1933, Page 7

    7

  • Form N-14 (SEC Form 2106) Registration Statement Under the Securities Act of 1933, Page 8

    8

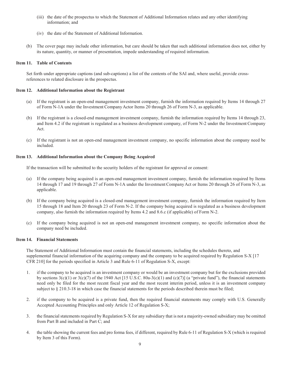
  • Form N-14 (SEC Form 2106) Registration Statement Under the Securities Act of 1933, Page 9

    9

  • Form N-14 (SEC Form 2106) Registration Statement Under the Securities Act of 1933, Page 10

    10

  • Form N-14 (SEC Form 2106) Registration Statement Under the Securities Act of 1933, Page 11

    11

  • Form N-14 (SEC Form 2106) Registration Statement Under the Securities Act of 1933, Page 12

    12

  • Form N-14 (SEC Form 2106) Registration Statement Under the Securities Act of 1933, Page 13

    13

  • Form N-14 (SEC Form 2106) Registration Statement Under the Securities Act of 1933, Page 14

    14

  • Form N-14 (SEC Form 2106) Registration Statement Under the Securities Act of 1933, Page 15

    15

  • Form N-14 (SEC Form 2106) Registration Statement Under the Securities Act of 1933, Page 16

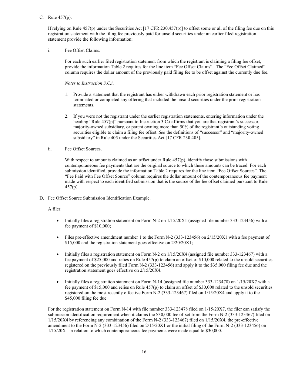
    16

  • Form N-14 (SEC Form 2106) Registration Statement Under the Securities Act of 1933, Page 17

    17

  • Form N-14 (SEC Form 2106) Registration Statement Under the Securities Act of 1933, Page 18

    18

  • Form N-14 (SEC Form 2106) Registration Statement Under the Securities Act of 1933, Page 19

    19

  • Form N-14 (SEC Form 2106) Registration Statement Under the Securities Act of 1933, Page 20

    20

  • Form N-14 (SEC Form 2106) Registration Statement Under the Securities Act of 1933, Page 1
  • Form N-14 (SEC Form 2106) Registration Statement Under the Securities Act of 1933, Page 2
  • Form N-14 (SEC Form 2106) Registration Statement Under the Securities Act of 1933, Page 3
  • Form N-14 (SEC Form 2106) Registration Statement Under the Securities Act of 1933, Page 4
  • Form N-14 (SEC Form 2106) Registration Statement Under the Securities Act of 1933, Page 5
  • Form N-14 (SEC Form 2106) Registration Statement Under the Securities Act of 1933, Page 6
  • Form N-14 (SEC Form 2106) Registration Statement Under the Securities Act of 1933, Page 7
  • Form N-14 (SEC Form 2106) Registration Statement Under the Securities Act of 1933, Page 8
  • Form N-14 (SEC Form 2106) Registration Statement Under the Securities Act of 1933, Page 9
  • Form N-14 (SEC Form 2106) Registration Statement Under the Securities Act of 1933, Page 10
  • Form N-14 (SEC Form 2106) Registration Statement Under the Securities Act of 1933, Page 11
  • Form N-14 (SEC Form 2106) Registration Statement Under the Securities Act of 1933, Page 12
  • Form N-14 (SEC Form 2106) Registration Statement Under the Securities Act of 1933, Page 13
  • Form N-14 (SEC Form 2106) Registration Statement Under the Securities Act of 1933, Page 14
  • Form N-14 (SEC Form 2106) Registration Statement Under the Securities Act of 1933, Page 15
  • Form N-14 (SEC Form 2106) Registration Statement Under the Securities Act of 1933, Page 16
  • Form N-14 (SEC Form 2106) Registration Statement Under the Securities Act of 1933, Page 17
  • Form N-14 (SEC Form 2106) Registration Statement Under the Securities Act of 1933, Page 18
  • Form N-14 (SEC Form 2106) Registration Statement Under the Securities Act of 1933, Page 19
  • Form N-14 (SEC Form 2106) Registration Statement Under the Securities Act of 1933, Page 20
Prev 1 2 3 4 5 ... 20 Next
ADVERTISEMENT

Related Documents