SCR Form 14 (SCL014) Summons to a Default Hearing - British Columbia, Canada

SCR Form 14 (SCL014) Summons to a Default Hearing - British Columbia, Canada

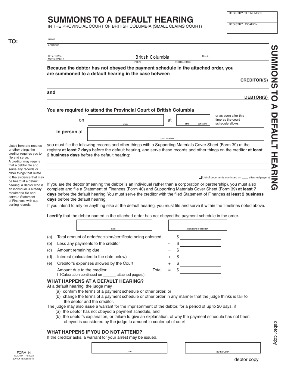
SCR Form 14 (SCL014) Summons to a Default Hearing is used in British Columbia, Canada to notify individuals who have not responded to a legal claim that they are required to attend a default hearing.

In British Columbia, Canada, the SCR Form 14 (SCL014) summons to a default hearing is typically filed by the party that initiated the legal action, such as the plaintiff or the applicant. However, it is always advisable to consult with a legal professional for specific guidance in your case.

FAQ

Q: What is SCR Form 14 (SCL014)?
A: SCR Form 14 (SCL014) is a summons to a default hearing in British Columbia, Canada.

Q: What is a summons to a default hearing?
A: A summons to a default hearing is a legal document that notifies a party that they have not complied with a court order or failed to appear in court, and requires them to attend a hearing to explain their actions.

Q: When is SCR Form 14 (SCL014) used?
A: SCR Form 14 (SCL014) is used when someone needs to be summoned to a default hearing in British Columbia, Canada.

Q: What should I do if I receive SCR Form 14 (SCL014)?
A: If you receive SCR Form 14 (SCL014), you should carefully read the document and seek legal advice if necessary. It is important to understand the reasons for the summons and the actions required from you.

Q: Can I ignore a summons to a default hearing?
A: No, you should never ignore a summons to a default hearing. Failing to comply with a court order or failing to appear in court can have serious consequences, including penalties or judgments being made against you.

ADVERTISEMENT

Download SCR Form 14 (SCL014) Summons to a Default Hearing - British Columbia, Canada

4.6 of 5 (13 votes)
  • SCR Form 14 (SCL014) Summons to a Default Hearing - British Columbia, Canada

    1

  • SCR Form 14 (SCL014) Summons to a Default Hearing - British Columbia, Canada, Page 2

    2

  • SCR Form 14 (SCL014) Summons to a Default Hearing - British Columbia, Canada, Page 3

    3

  • SCR Form 14 (SCL014) Summons to a Default Hearing - British Columbia, Canada, Page 4

    4

  • SCR Form 14 (SCL014) Summons to a Default Hearing - British Columbia, Canada, Page 5

    5

  • SCR Form 14 (SCL014) Summons to a Default Hearing - British Columbia, Canada, Page 6

    6

  • SCR Form 14 (SCL014) Summons to a Default Hearing - British Columbia, Canada, Page 1
  • SCR Form 14 (SCL014) Summons to a Default Hearing - British Columbia, Canada, Page 2
  • SCR Form 14 (SCL014) Summons to a Default Hearing - British Columbia, Canada, Page 3
  • SCR Form 14 (SCL014) Summons to a Default Hearing - British Columbia, Canada, Page 4
  • SCR Form 14 (SCL014) Summons to a Default Hearing - British Columbia, Canada, Page 5
  • SCR Form 14 (SCL014) Summons to a Default Hearing - British Columbia, Canada, Page 6
Prev 1 2 3 4 5 6 Next
ADVERTISEMENT