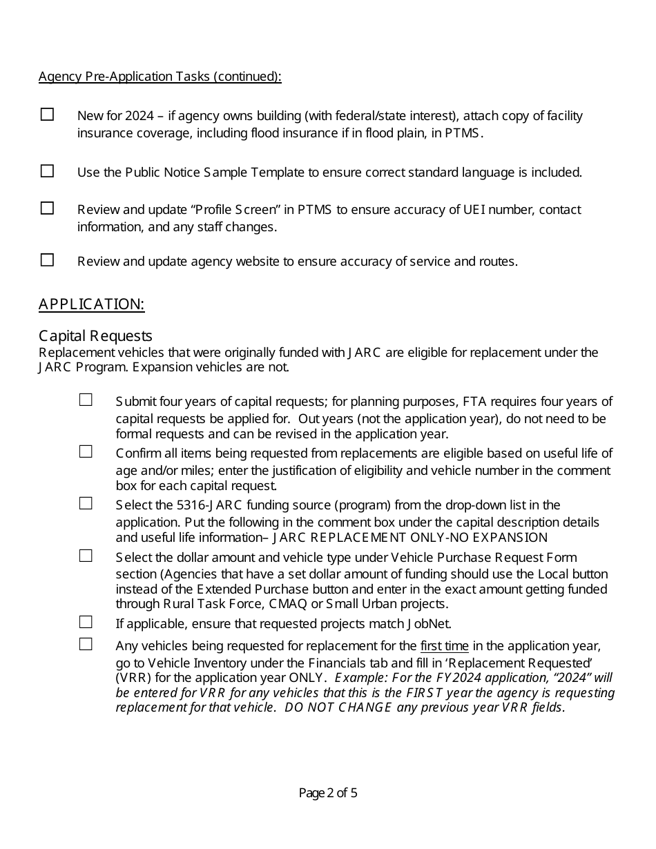
Jarc Application Checklist - Michigan

Notification Icon This version of the form is not currently in use and is provided for reference only. Download this version of the document for the current year.

Jarc Application Checklist - Michigan

Jarc Application Checklist is a legal document that was released by the Michigan Department of Transportation - a government authority operating within Michigan.

FAQ

Q: What is the JARC application checklist?
A: The JARC application checklist is a list of requirements that need to be fulfilled when applying for the JARC program in Michigan.

Q: What is JARC?
A: JARC (Job Access and Reverse Commute) is a program that provides transportation services to low-income individuals in Michigan.

Q: Who is eligible for JARC?
A: Low-income individuals who have difficulty accessing transportation services are eligible for JARC.

Q: What are the requirements for JARC?
A: The requirements for JARC include completing the application form, providing proof of income and residency, and meeting the income guidelines.

Q: How do I apply for JARC?
A: To apply for JARC, you need to complete the application form and submit it along with the required documents to the designated office.

Q: What documents do I need to submit for JARC?
A: You need to submit proof of income, proof of residency, and any other supporting documents as requested on the application checklist.

Q: What are the income guidelines for JARC?
A: The income guidelines for JARC vary based on family size and are updated annually.

ADVERTISEMENT

Form Details:

  • The latest edition currently provided by the Michigan Department of Transportation;
  • Ready to use and print;
  • Easy to customize;
  • Compatible with most PDF-viewing applications;
  • Fill out the form in our online filing application.

Download a fillable version of the form by clicking the link below or browse more documents and templates provided by the Michigan Department of Transportation.

Download Jarc Application Checklist - Michigan

4.8 of 5 (13 votes)
  • Jarc Application Checklist - Michigan

    1

  • Jarc Application Checklist - Michigan, Page 2

    2

  • Jarc Application Checklist - Michigan, Page 3

    3

  • Jarc Application Checklist - Michigan, Page 4

    4

  • Jarc Application Checklist - Michigan, Page 5

    5

  • Jarc Application Checklist - Michigan, Page 1
  • Jarc Application Checklist - Michigan, Page 2
  • Jarc Application Checklist - Michigan, Page 3
  • Jarc Application Checklist - Michigan, Page 4
  • Jarc Application Checklist - Michigan, Page 5
Prev 1 2 3 4 5 Next
ADVERTISEMENT