Form 734-5241 Application Summary - Outdoor Advertising Sign Permit - Oregon

Form 734-5241 Application Summary - Outdoor Advertising Sign Permit - Oregon

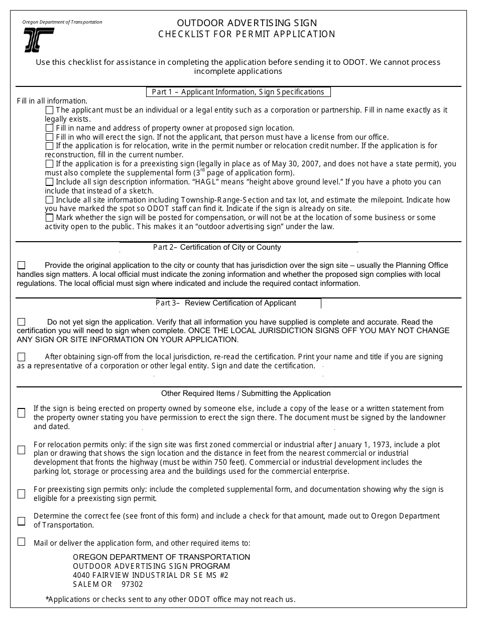
What Is Form 734-5241?

This is a legal form that was released by the Oregon Department of Transportation - a government authority operating within Oregon. As of today, no separate filing guidelines for the form are provided by the issuing department.

FAQ

Q: What is Form 734-5241?
A: Form 734-5241 is an Application Summary for the Outdoor Advertising Sign Permit in Oregon.

Q: What is the Outdoor Advertising Sign Permit?
A: The Outdoor Advertising Sign Permit is a permit required for installing and operating outdoor advertising signs in Oregon.

Q: Who needs to fill out Form 734-5241?
A: Anyone who wants to install and operate outdoor advertising signs in Oregon needs to fill out Form 734-5241.

Q: What information is required in Form 734-5241?
A: Form 734-5241 requires information such as the applicant's name, contact details, sign location, sign specifications, and proof of compliance with zoning and permits.

Q: What is the purpose of Form 734-5241?
A: The purpose of Form 734-5241 is to provide a summary of the application for the Outdoor Advertising Sign Permit and to collect necessary information for evaluation and approval.

Q: Are there any fees associated with the Outdoor Advertising Sign Permit?
A: Yes, there are fees associated with the Outdoor Advertising Sign Permit. Please refer to the relevant government agency for the fee schedule.

Q: What happens after submitting Form 734-5241?
A: After submitting Form 734-5241, the application will be evaluated by the relevant government agency to determine whether the Outdoor Advertising Sign Permit can be granted.

Q: Is the Outdoor Advertising Sign Permit renewable?
A: Yes, the Outdoor Advertising Sign Permit is renewable. The permit holder needs to submit a renewal application before the expiration date.

Q: What are the consequences of operating without an Outdoor Advertising Sign Permit?
A: Operating without an Outdoor Advertising Sign Permit can lead to penalties, fines, and the removal of the sign by the government authorities.

ADVERTISEMENT

Form Details:

  • Released on January 1, 2020;
  • The latest edition provided by the Oregon Department of Transportation;
  • Easy to use and ready to print;
  • Quick to customize;
  • Compatible with most PDF-viewing applications;
  • Fill out the form in our online filing application.

Download a printable version of Form 734-5241 by clicking the link below or browse more documents and templates provided by the Oregon Department of Transportation.

Download Form 734-5241 Application Summary - Outdoor Advertising Sign Permit - Oregon

4.3 of 5 (13 votes)
  • Form 734-5241 Application Summary - Outdoor Advertising Sign Permit - Oregon

    1

  • Form 734-5241 Application Summary - Outdoor Advertising Sign Permit - Oregon, Page 2

    2

  • Form 734-5241 Application Summary - Outdoor Advertising Sign Permit - Oregon, Page 1
  • Form 734-5241 Application Summary - Outdoor Advertising Sign Permit - Oregon, Page 2
Prev 1 2 Next
ADVERTISEMENT

Related Documents