DOT Form 220-018 Roadside Vegetation Permit - Washington

Notification Icon This version of the form is not currently in use and is provided for reference only. Download this version of DOT Form 220-018 for the current year.

DOT Form 220-018 Roadside Vegetation Permit - Washington

What Is DOT Form 220-018?

This is a legal form that was released by the Washington State Department of Transportation - a government authority operating within Washington. As of today, no separate filing guidelines for the form are provided by the issuing department.

FAQ

Q: What is DOT Form 220-018?
A: DOT Form 220-018 is a Roadside Vegetation Permit specific to Washington state.

Q: What is the purpose of this permit?
A: The permit is used to request authorization for vegetation activities along Washington state roadways.

Q: Who needs to fill out DOT Form 220-018?
A: Anyone who intends to perform vegetation-related work along Washington state roadways needs to fill out this permit.

Q: What types of activities require this permit?
A: Vegetation activities such as mowing, trimming, planting, or removing trees and vegetation along roadways require this permit.

ADVERTISEMENT

Form Details:

  • Released on October 1, 2022;
  • The latest edition provided by the Washington State Department of Transportation;
  • Easy to use and ready to print;
  • Quick to customize;
  • Compatible with most PDF-viewing applications;
  • Fill out the form in our online filing application.

Download a fillable version of DOT Form 220-018 by clicking the link below or browse more documents and templates provided by the Washington State Department of Transportation.

Download DOT Form 220-018 Roadside Vegetation Permit - Washington

4.5 of 5 (24 votes)
  • DOT Form 220-018 Roadside Vegetation Permit - Washington

    1

  • DOT Form 220-018 Roadside Vegetation Permit - Washington, Page 2

    2

  • DOT Form 220-018 Roadside Vegetation Permit - Washington, Page 3

    3

  • DOT Form 220-018 Roadside Vegetation Permit - Washington, Page 4

    4

  • DOT Form 220-018 Roadside Vegetation Permit - Washington, Page 5

    5

  • DOT Form 220-018 Roadside Vegetation Permit - Washington, Page 6

    6

  • DOT Form 220-018 Roadside Vegetation Permit - Washington, Page 7

    7

  • DOT Form 220-018 Roadside Vegetation Permit - Washington, Page 8

    8

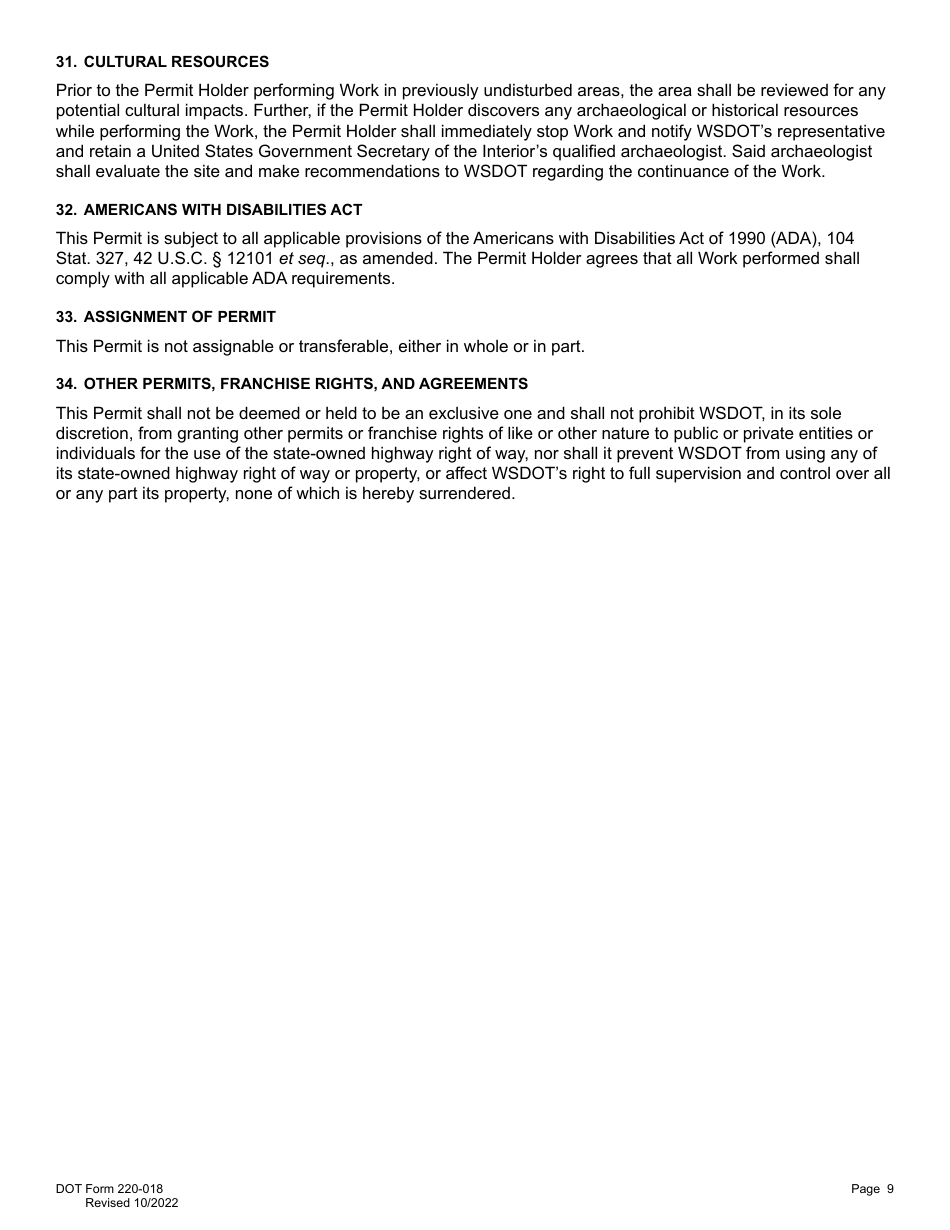
  • DOT Form 220-018 Roadside Vegetation Permit - Washington, Page 9

    9

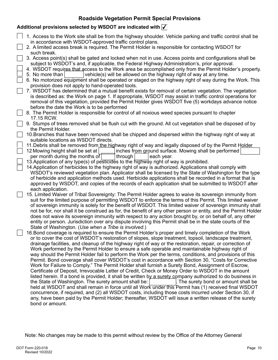
  • DOT Form 220-018 Roadside Vegetation Permit - Washington, Page 10

    10

  • DOT Form 220-018 Roadside Vegetation Permit - Washington, Page 1
  • DOT Form 220-018 Roadside Vegetation Permit - Washington, Page 2
  • DOT Form 220-018 Roadside Vegetation Permit - Washington, Page 3
  • DOT Form 220-018 Roadside Vegetation Permit - Washington, Page 4
  • DOT Form 220-018 Roadside Vegetation Permit - Washington, Page 5
  • DOT Form 220-018 Roadside Vegetation Permit - Washington, Page 6
  • DOT Form 220-018 Roadside Vegetation Permit - Washington, Page 7
  • DOT Form 220-018 Roadside Vegetation Permit - Washington, Page 8
  • DOT Form 220-018 Roadside Vegetation Permit - Washington, Page 9
  • DOT Form 220-018 Roadside Vegetation Permit - Washington, Page 10
Prev 1 2 3 4 5 ... 10 Next
ADVERTISEMENT

Related Documents