DOT Form 224-102 Project Review Reimbursable Agreement - Washington

DOT Form 224-102 Project Review Reimbursable Agreement - Washington

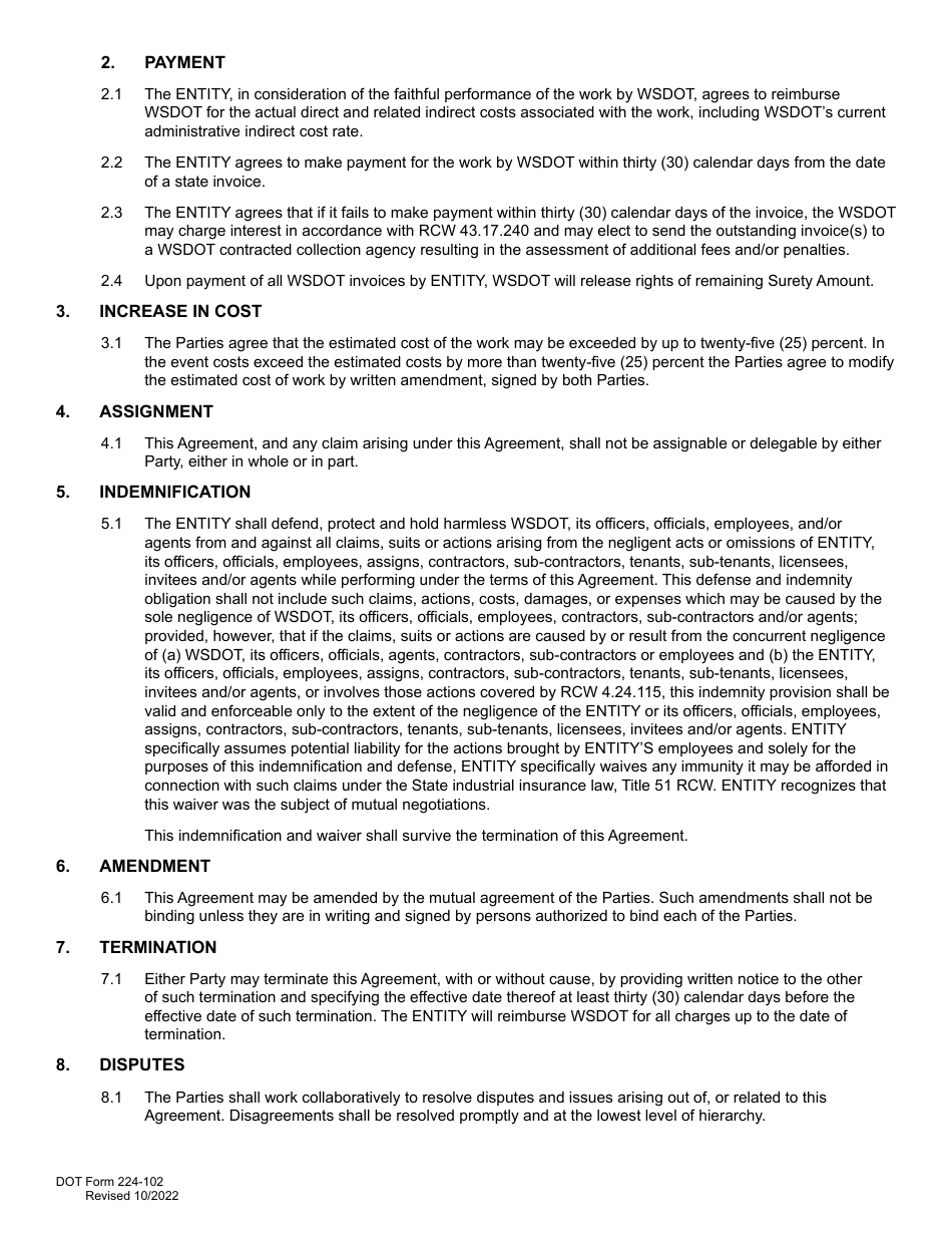
What Is DOT Form 224-102?

This is a legal form that was released by the Washington State Department of Transportation - a government authority operating within Washington. As of today, no separate filing guidelines for the form are provided by the issuing department.

FAQ

Q: What is DOT Form 224-102?
A: DOT Form 224-102 is a type of document used for a Project Review Reimbursable Agreement in Washington.

Q: What is a Project Review Reimbursable Agreement?
A: A Project Review Reimbursable Agreement is an agreement where one party agrees to reimburse another party for project review services.

Q: Who uses DOT Form 224-102?
A: DOT Form 224-102 is typically used by the Department of Transportation (DOT) in Washington.

Q: What is the purpose of DOT Form 224-102?
A: The purpose of DOT Form 224-102 is to establish a reimbursable agreement for project review services.

ADVERTISEMENT

Form Details:

  • Released on October 1, 2022;
  • The latest edition provided by the Washington State Department of Transportation;
  • Easy to use and ready to print;
  • Quick to customize;
  • Compatible with most PDF-viewing applications;
  • Fill out the form in our online filing application.

Download a fillable version of DOT Form 224-102 by clicking the link below or browse more documents and templates provided by the Washington State Department of Transportation.

Download DOT Form 224-102 Project Review Reimbursable Agreement - Washington

4.8 of 5 (8 votes)
  • DOT Form 224-102 Project Review Reimbursable Agreement - Washington

    1

  • DOT Form 224-102 Project Review Reimbursable Agreement - Washington, Page 2

    2

  • DOT Form 224-102 Project Review Reimbursable Agreement - Washington, Page 3

    3

  • DOT Form 224-102 Project Review Reimbursable Agreement - Washington, Page 1
  • DOT Form 224-102 Project Review Reimbursable Agreement - Washington, Page 2
  • DOT Form 224-102 Project Review Reimbursable Agreement - Washington, Page 3
Prev 1 2 3 Next
ADVERTISEMENT

Related Documents