Collateral Loan Brokers Codes, Rules and Regulations - New York

Collateral Loan Brokers Codes, Rules and Regulations - New York

Collateral Loan Brokers Codes, Rules and Regulations is a legal document that was released by the Office of the New York State Comptroller - a government authority operating within New York.

FAQ

Q: What is a collateral loan?
A: A collateral loan is a loan that is secured by valuable assets such as property or jewelry.

Q: What are collateral loan broker codes, rules, and regulations?
A: Collateral loan broker codes, rules, and regulations refer to the laws and guidelines set by the state of New York to govern the activities of collateral loan brokers.

Q: Who is a collateral loan broker?
A: A collateral loan broker is a professional who connects borrowers in need of a collateral loan with lenders who are willing to offer such loans.

Q: What is the purpose of collateral loan broker codes, rules, and regulations?
A: The purpose of these codes, rules, and regulations is to ensure the fair and ethical operation of collateral loan brokers, as well as the protection of borrowers and lenders.

Q: What are some common regulations for collateral loan brokers in New York?
A: Common regulations for collateral loan brokers in New York may include licensing requirements, disclosure of loan terms and fees, and restrictions on unfair practices.

ADVERTISEMENT

Form Details:

  • Released on December 1, 2001;
  • The latest edition currently provided by the Office of the New York State Comptroller;
  • Ready to use and print;
  • Easy to customize;
  • Compatible with most PDF-viewing applications;
  • Fill out the form in our online filing application.

Download a printable version of the form by clicking the link below or browse more documents and templates provided by the Office of the New York State Comptroller.

Download Collateral Loan Brokers Codes, Rules and Regulations - New York

4.6 of 5 (10 votes)
  • Collateral Loan Brokers Codes, Rules and Regulations - New York

    1

  • Collateral Loan Brokers Codes, Rules and Regulations - New York, Page 2

    2

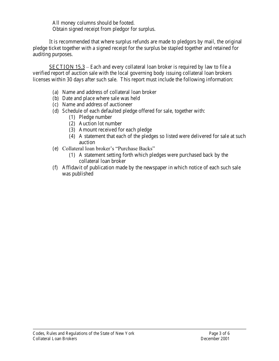
  • Collateral Loan Brokers Codes, Rules and Regulations - New York, Page 3

    3

  • Collateral Loan Brokers Codes, Rules and Regulations - New York, Page 4

    4

  • Collateral Loan Brokers Codes, Rules and Regulations - New York, Page 5

    5

  • Collateral Loan Brokers Codes, Rules and Regulations - New York, Page 6

    6

  • Collateral Loan Brokers Codes, Rules and Regulations - New York, Page 1
  • Collateral Loan Brokers Codes, Rules and Regulations - New York, Page 2
  • Collateral Loan Brokers Codes, Rules and Regulations - New York, Page 3
  • Collateral Loan Brokers Codes, Rules and Regulations - New York, Page 4
  • Collateral Loan Brokers Codes, Rules and Regulations - New York, Page 5
  • Collateral Loan Brokers Codes, Rules and Regulations - New York, Page 6
Prev 1 2 3 4 5 6 Next
ADVERTISEMENT