J-1 Visa Waiver Program Application Form - Illinois

J-1 Visa Waiver Program Application Form - Illinois

J-1 Visa Waiver Program Application Form is a legal document that was released by the Illinois Department of Public Health - a government authority operating within Illinois.

FAQ

Q: What is the J-1 Visa Waiver Program?
A: The J-1 Visa Waiver Program allows foreign nationals in J-1 status to apply for a waiver of the two-year home-country residence requirement.

Q: Who is eligible to apply for the J-1 Visa Waiver Program?
A: Foreign nationals who are in J-1 status and subject to the two-year home-country residence requirement are eligible to apply for the J-1 Visa Waiver Program.

Q: What is the two-year home-country residence requirement?
A: The two-year home-country residence requirement is a requirement for certain J-1 exchange visitors to return to their home country or country of last permanent residence for a cumulative total of two years before being able to apply for certain immigration benefits.

Q: How can I apply for the J-1 Visa Waiver Program in Illinois?
A: To apply for the J-1 Visa Waiver Program in Illinois, you need to complete and submit the J-1 Visa Waiver Program Application Form, which can be obtained from the Illinois Department of Public Health.

Q: What documents do I need to include with my J-1 Visa Waiver Program application?
A: The documents required for the J-1 Visa Waiver Program application include a copy of your J-1 visa, a copy of your DS-2019 form, a statement of reason for the waiver request, and evidence of no objection from your home country government.

Q: What is the processing time for the J-1 Visa Waiver Program application?
A: The processing time for the J-1 Visa Waiver Program application in Illinois can vary, but it typically takes several months to process.

Q: Is there a fee for the J-1 Visa Waiver Program application?
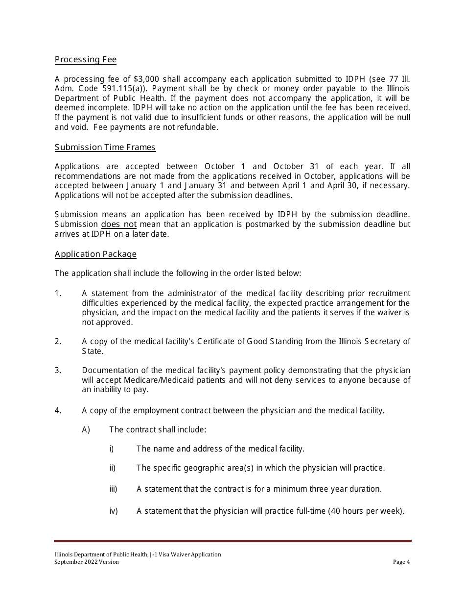
A: Yes, there is a fee for the J-1 Visa Waiver Program application in Illinois. The current fee is $500.

Q: Can I appeal a denial of my J-1 Visa Waiver Program application?
A: Yes, you can appeal a denial of your J-1 Visa Waiver Program application. The appeal process varies depending on the state and federal agency involved.

Q: What happens after my J-1 Visa Waiver Program application is approved?
A: After your J-1 Visa Waiver Program application is approved, you will be issued a favorable recommendation, which allows you to apply for a change of status or for an immigrant visa.

Q: Can I travel outside of the United States while my J-1 Visa Waiver Program application is pending?
A: Yes, you can travel outside of the United States while your J-1 Visa Waiver Program application is pending, but it is recommended to consult with an immigration attorney before doing so.

ADVERTISEMENT

Form Details:

  • Released on September 1, 2022;
  • The latest edition currently provided by the Illinois Department of Public Health;
  • Ready to use and print;
  • Easy to customize;
  • Compatible with most PDF-viewing applications;
  • Fill out the form in our online filing application.

Download a printable version of the form by clicking the link below or browse more documents and templates provided by the Illinois Department of Public Health.

Download J-1 Visa Waiver Program Application Form - Illinois

4.4 of 5 (30 votes)
  • J-1 Visa Waiver Program Application Form - Illinois

    1

  • J-1 Visa Waiver Program Application Form - Illinois, Page 2

    2

  • J-1 Visa Waiver Program Application Form - Illinois, Page 3

    3

  • J-1 Visa Waiver Program Application Form - Illinois, Page 4

    4

  • J-1 Visa Waiver Program Application Form - Illinois, Page 5

    5

  • J-1 Visa Waiver Program Application Form - Illinois, Page 6

    6

  • J-1 Visa Waiver Program Application Form - Illinois, Page 7

    7

  • J-1 Visa Waiver Program Application Form - Illinois, Page 8

    8

  • J-1 Visa Waiver Program Application Form - Illinois, Page 9

    9

  • J-1 Visa Waiver Program Application Form - Illinois, Page 10

    10

  • J-1 Visa Waiver Program Application Form - Illinois, Page 11

    11

  • J-1 Visa Waiver Program Application Form - Illinois, Page 12

    12

  • J-1 Visa Waiver Program Application Form - Illinois, Page 13

    13

  • J-1 Visa Waiver Program Application Form - Illinois, Page 14

    14

  • J-1 Visa Waiver Program Application Form - Illinois, Page 15

    15

  • J-1 Visa Waiver Program Application Form - Illinois, Page 16

    16

  • J-1 Visa Waiver Program Application Form - Illinois, Page 17

    17

  • J-1 Visa Waiver Program Application Form - Illinois, Page 18

    18

  • J-1 Visa Waiver Program Application Form - Illinois, Page 1
  • J-1 Visa Waiver Program Application Form - Illinois, Page 2
  • J-1 Visa Waiver Program Application Form - Illinois, Page 3
  • J-1 Visa Waiver Program Application Form - Illinois, Page 4
  • J-1 Visa Waiver Program Application Form - Illinois, Page 5
  • J-1 Visa Waiver Program Application Form - Illinois, Page 6
  • J-1 Visa Waiver Program Application Form - Illinois, Page 7
  • J-1 Visa Waiver Program Application Form - Illinois, Page 8
  • J-1 Visa Waiver Program Application Form - Illinois, Page 9
  • J-1 Visa Waiver Program Application Form - Illinois, Page 10
  • J-1 Visa Waiver Program Application Form - Illinois, Page 11
  • J-1 Visa Waiver Program Application Form - Illinois, Page 12
  • J-1 Visa Waiver Program Application Form - Illinois, Page 13
  • J-1 Visa Waiver Program Application Form - Illinois, Page 14
  • J-1 Visa Waiver Program Application Form - Illinois, Page 15
  • J-1 Visa Waiver Program Application Form - Illinois, Page 16
  • J-1 Visa Waiver Program Application Form - Illinois, Page 17
  • J-1 Visa Waiver Program Application Form - Illinois, Page 18
Prev 1 2 3 4 5 ... 18 Next
ADVERTISEMENT