Form RDC Application for Research and Development Expenses Tax Credit - Virginia

Notification Icon This version of the form is not currently in use and is provided for reference only. Download this version of Form RDC for the current year.

Form RDC Application for Research and Development Expenses Tax Credit - Virginia

What Is Form RDC?

This is a legal form that was released by the Virginia Department of Taxation - a government authority operating within Virginia. As of today, no separate filing guidelines for the form are provided by the issuing department.

FAQ

Q: What is the RDC Application for Research and Development Expenses Tax Credit?
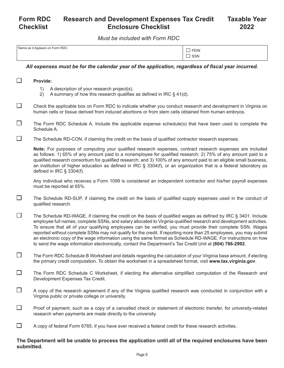
A: The RDC Application for Research and Development Expenses Tax Credit is a form used in Virginia to apply for a tax credit for research and development expenses.

Q: What is the purpose of the RDC tax credit?
A: The purpose of the RDC tax credit is to incentivize businesses in Virginia to invest in research and development activities.

Q: Who is eligible to apply for the RDC tax credit?
A: Businesses that have incurred qualified research and development expenses in Virginia may be eligible to apply for the RDC tax credit.

Q: What expenses qualify for the RDC tax credit?
A: Qualified research and development expenses may include wages, supplies, and contract research expenses directly related to qualified research conducted in Virginia.

Q: How much tax credit can be claimed through the RDC tax credit?
A: The amount of tax credit that can be claimed through the RDC tax credit varies based on the amount of qualified research and development expenses incurred by the business.

Q: Are there any deadlines for submitting the RDC application?
A: Yes, there are specific deadlines for submitting the RDC application. It is important to consult the Virginia Department of Taxation for the current year's deadlines.

Q: Are there any limitations or restrictions on the RDC tax credit?
A: Yes, there may be limitations or restrictions on the RDC tax credit, such as a maximum credit amount or annual cap. It is recommended to review the instructions and guidelines provided with the application form for more information.

ADVERTISEMENT

Form Details:

  • Released on August 1, 2022;
  • The latest edition provided by the Virginia Department of Taxation;
  • Easy to use and ready to print;
  • Quick to customize;
  • Compatible with most PDF-viewing applications;
  • Fill out the form in our online filing application.

Download a fillable version of Form RDC by clicking the link below or browse more documents and templates provided by the Virginia Department of Taxation.

Download Form RDC Application for Research and Development Expenses Tax Credit - Virginia

4.7 of 5 (9 votes)
  • Form RDC Application for Research and Development Expenses Tax Credit - Virginia

    1

  • Form RDC Application for Research and Development Expenses Tax Credit - Virginia, Page 2

    2

  • Form RDC Application for Research and Development Expenses Tax Credit - Virginia, Page 3

    3

  • Form RDC Application for Research and Development Expenses Tax Credit - Virginia, Page 4

    4

  • Form RDC Application for Research and Development Expenses Tax Credit - Virginia, Page 5

    5

  • Form RDC Application for Research and Development Expenses Tax Credit - Virginia, Page 6

    6

  • Form RDC Application for Research and Development Expenses Tax Credit - Virginia, Page 7

    7

  • Form RDC Application for Research and Development Expenses Tax Credit - Virginia, Page 8

    8

  • Form RDC Application for Research and Development Expenses Tax Credit - Virginia, Page 9

    9

  • Form RDC Application for Research and Development Expenses Tax Credit - Virginia, Page 1
  • Form RDC Application for Research and Development Expenses Tax Credit - Virginia, Page 2
  • Form RDC Application for Research and Development Expenses Tax Credit - Virginia, Page 3
  • Form RDC Application for Research and Development Expenses Tax Credit - Virginia, Page 4
  • Form RDC Application for Research and Development Expenses Tax Credit - Virginia, Page 5
  • Form RDC Application for Research and Development Expenses Tax Credit - Virginia, Page 6
  • Form RDC Application for Research and Development Expenses Tax Credit - Virginia, Page 7
  • Form RDC Application for Research and Development Expenses Tax Credit - Virginia, Page 8
  • Form RDC Application for Research and Development Expenses Tax Credit - Virginia, Page 9
Prev 1 2 3 4 5 ... 9 Next
ADVERTISEMENT