DHEC Form 4290 Cyshcn Services Request Form - South Carolina

Notification Icon This version of the form is not currently in use and is provided for reference only. Download this version of DHEC Form 4290 for the current year.

DHEC Form 4290 Cyshcn Services Request Form - South Carolina

What Is DHEC Form 4290?

This is a legal form that was released by the South Carolina Department of Health and Environmental Control - a government authority operating within South Carolina. As of today, no separate filing guidelines for the form are provided by the issuing department.

FAQ

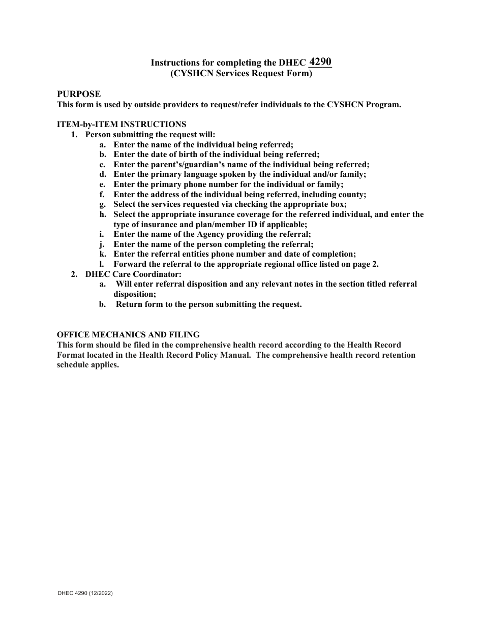
Q: What is DHEC Form 4290 Cyshcn Services Request Form?
A: DHEC Form 4290 Cyshcn Services Request Form is a form used in South Carolina to request services for children and youth with special healthcare needs.

Q: Who can use DHEC Form 4290 Cyshcn Services Request Form?
A: DHEC Form 4290 Cyshcn Services Request Form can be used by parents, legal guardians, or healthcare providers to request services for children and youth with special healthcare needs in South Carolina.

Q: What information is required in DHEC Form 4290 Cyshcn Services Request Form?
A: DHEC Form 4290 Cyshcn Services Request Form requires information such as the child's personal details, medical history, healthcare needs, and the requested services.

ADVERTISEMENT

Form Details:

  • Released on December 1, 2022;
  • The latest edition provided by the South Carolina Department of Health and Environmental Control;
  • Easy to use and ready to print;
  • Quick to customize;
  • Compatible with most PDF-viewing applications;
  • Fill out the form in our online filing application.

Download a fillable version of DHEC Form 4290 by clicking the link below or browse more documents and templates provided by the South Carolina Department of Health and Environmental Control.

Download DHEC Form 4290 Cyshcn Services Request Form - South Carolina

4.4 of 5 (18 votes)
  • DHEC Form 4290 Cyshcn Services Request Form - South Carolina

    1

  • DHEC Form 4290 Cyshcn Services Request Form - South Carolina, Page 2

    2

  • DHEC Form 4290 Cyshcn Services Request Form - South Carolina, Page 3

    3

  • DHEC Form 4290 Cyshcn Services Request Form - South Carolina, Page 1
  • DHEC Form 4290 Cyshcn Services Request Form - South Carolina, Page 2
  • DHEC Form 4290 Cyshcn Services Request Form - South Carolina, Page 3
Prev 1 2 3 Next
ADVERTISEMENT