Small Business Support Grant Application - Allegany County, New York

Small Business Support Grant Application - Allegany County, New York

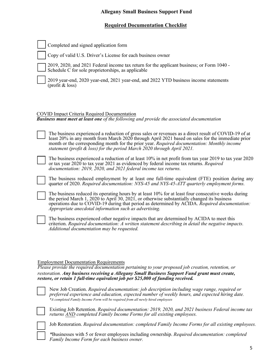
Small Business Support Grant Application is a legal document that was released by the Department of Health - Allegany County, New York - a government authority operating within New York. The form may be used strictly within Allegany County.

FAQ

Q: What is the Small Business Support Grant Application?
A: The Small Business Support Grant Application is a program in Allegany County, New York that provides financial support to small businesses.

Q: Who is eligible for the Small Business Support Grant?
A: Small businesses in Allegany County, New York are eligible for the Small Business Support Grant.

Q: What kind of financial support does the grant provide?
A: The grant provides financial assistance to small businesses in Allegany County, New York.

Q: How can I apply for the Small Business Support Grant?
A: To apply for the grant, you will need to complete and submit the Small Business Support Grant Application.

Q: What is the deadline for applying for the grant?
A: The deadline for applying for the grant is stated in the application guidelines.

Q: What documents do I need to submit with my application?
A: You will need to check the application guidelines for the required documents to submit with your application.

Q: How will the grant recipients be selected?
A: The selection of grant recipients will be based on the criteria outlined in the application guidelines.

Q: How much funding can I receive from the grant?
A: The amount of funding you can receive from the grant will be determined based on the evaluation of your application.

Q: Can I use the grant funds for any purpose?
A: The eligible uses of the grant funds will be specified in the grant guidelines.

Q: When will I be notified if I have been selected for the grant?
A: The notification of grant recipients will be communicated to applicants within a specified timeframe.

ADVERTISEMENT

Form Details:

  • The latest edition currently provided by the Department of Health - Allegany County, New York;
  • Ready to use and print;
  • Easy to customize;
  • Compatible with most PDF-viewing applications;
  • Fill out the form in our online filing application.

Download a fillable version of the form by clicking the link below or browse more documents and templates provided by the Department of Health - Allegany County, New York.

Download Small Business Support Grant Application - Allegany County, New York

4.5 of 5 (8 votes)
  • Small Business Support Grant Application - Allegany County, New York

    1

  • Small Business Support Grant Application - Allegany County, New York, Page 2

    2

  • Small Business Support Grant Application - Allegany County, New York, Page 3

    3

  • Small Business Support Grant Application - Allegany County, New York, Page 4

    4

  • Small Business Support Grant Application - Allegany County, New York, Page 5

    5

  • Small Business Support Grant Application - Allegany County, New York, Page 6

    6

  • Small Business Support Grant Application - Allegany County, New York, Page 7

    7

  • Small Business Support Grant Application - Allegany County, New York, Page 8

    8

  • Small Business Support Grant Application - Allegany County, New York, Page 9

    9

  • Small Business Support Grant Application - Allegany County, New York, Page 10

    10

  • Small Business Support Grant Application - Allegany County, New York, Page 1
  • Small Business Support Grant Application - Allegany County, New York, Page 2
  • Small Business Support Grant Application - Allegany County, New York, Page 3
  • Small Business Support Grant Application - Allegany County, New York, Page 4
  • Small Business Support Grant Application - Allegany County, New York, Page 5
  • Small Business Support Grant Application - Allegany County, New York, Page 6
  • Small Business Support Grant Application - Allegany County, New York, Page 7
  • Small Business Support Grant Application - Allegany County, New York, Page 8
  • Small Business Support Grant Application - Allegany County, New York, Page 9
  • Small Business Support Grant Application - Allegany County, New York, Page 10
Prev 1 2 3 4 5 ... 10 Next
ADVERTISEMENT

Related Documents