Form MP408 Petition for Assisted Outpatient Treatment (Ptaot) - Washington

Form MP408 Petition for Assisted Outpatient Treatment (Ptaot) - Washington

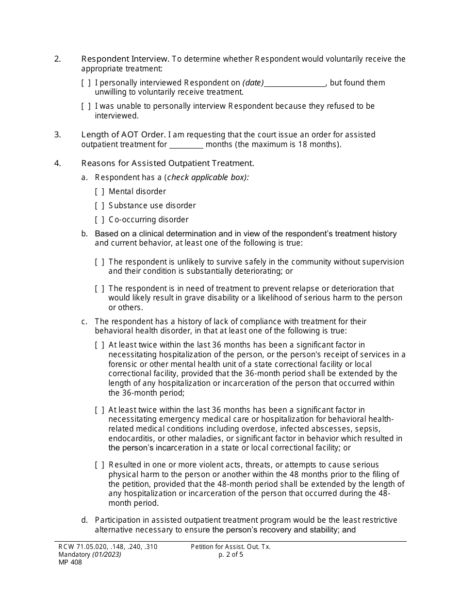
What Is Form MP408?

This is a legal form that was released by the Washington Superior Court - a government authority operating within Washington. As of today, no separate filing guidelines for the form are provided by the issuing department.

FAQ

Q: What is Form MP408?
A: Form MP408 is a petition for Assisted Outpatient Treatment (Ptaot) in Washington.

Q: What is Assisted Outpatient Treatment (Ptaot)?
A: Assisted Outpatient Treatment (Ptaot) is a legal process that allows mental health professionals to provide treatment for individuals with severe mental illnesses who are unable or unwilling to seek treatment on their own.

Q: Who can file Form MP408?
A: Form MP408 can be filed by mental health professionals, family members, or others who believe that someone with a severe mental illness needs involuntary treatment.

Q: What is the purpose of Form MP408?
A: The purpose of Form MP408 is to request a court to order Assisted Outpatient Treatment for an individual with severe mental illness.

Q: What information is required on Form MP408?
A: Form MP408 requires information about the individual receiving the petition, the petitioner, brief description of the individual's mental illness, treatment history, and supporting documentation.

Q: Is there a fee for filing Form MP408?
A: Yes, there is a fee for filing Form MP408. The fee may vary depending on the court.

Q: Can the court deny the petition?
A: Yes, the court can deny the petition if it determines that the individual does not meet the criteria for Assisted Outpatient Treatment or if there are other legal reasons to deny the petition.

Q: What happens after Form MP408 is filed?
A: After Form MP408 is filed, the court will review the petition and schedule a hearing. The individual receiving the petition will have an opportunity to participate in the hearing and present their case.

Q: What happens if the court approves the petition?
A: If the court approves the petition, it can order Assisted Outpatient Treatment, which may include involuntary medication or other forms of treatment.

Q: Is Assisted Outpatient Treatment permanent?
A: Assisted Outpatient Treatment is not permanent. The court periodically reviews the treatment plan and can modify or terminate it based on the individual's progress and circumstances.

ADVERTISEMENT

Form Details:

  • Released on January 1, 2023;
  • The latest edition provided by the Washington Superior Court;
  • Easy to use and ready to print;
  • Quick to customize;
  • Compatible with most PDF-viewing applications;
  • Fill out the form in our online filing application.

Download a printable version of Form MP408 by clicking the link below or browse more documents and templates provided by the Washington Superior Court.

Download Form MP408 Petition for Assisted Outpatient Treatment (Ptaot) - Washington

4.6 of 5 (14 votes)
  • Form MP408 Petition for Assisted Outpatient Treatment (Ptaot) - Washington

    1

  • Form MP408 Petition for Assisted Outpatient Treatment (Ptaot) - Washington, Page 2

    2

  • Form MP408 Petition for Assisted Outpatient Treatment (Ptaot) - Washington, Page 3

    3

  • Form MP408 Petition for Assisted Outpatient Treatment (Ptaot) - Washington, Page 4

    4

  • Form MP408 Petition for Assisted Outpatient Treatment (Ptaot) - Washington, Page 5

    5

  • Form MP408 Petition for Assisted Outpatient Treatment (Ptaot) - Washington, Page 1
  • Form MP408 Petition for Assisted Outpatient Treatment (Ptaot) - Washington, Page 2
  • Form MP408 Petition for Assisted Outpatient Treatment (Ptaot) - Washington, Page 3
  • Form MP408 Petition for Assisted Outpatient Treatment (Ptaot) - Washington, Page 4
  • Form MP408 Petition for Assisted Outpatient Treatment (Ptaot) - Washington, Page 5
Prev 1 2 3 4 5 Next
ADVERTISEMENT