Form XR221 Temporary Extreme Risk Protection Order - Without Notice - Respondent Under 18 Years - Washington

Notification Icon This version of the form is not currently in use and is provided for reference only. Download this version of Form XR221 for the current year.

Form XR221 Temporary Extreme Risk Protection Order - Without Notice - Respondent Under 18 Years - Washington

What Is Form XR221?

This is a legal form that was released by the Washington State Courts - a government authority operating within Washington. As of today, no separate filing guidelines for the form are provided by the issuing department.

FAQ

Q: What is Form XR221?
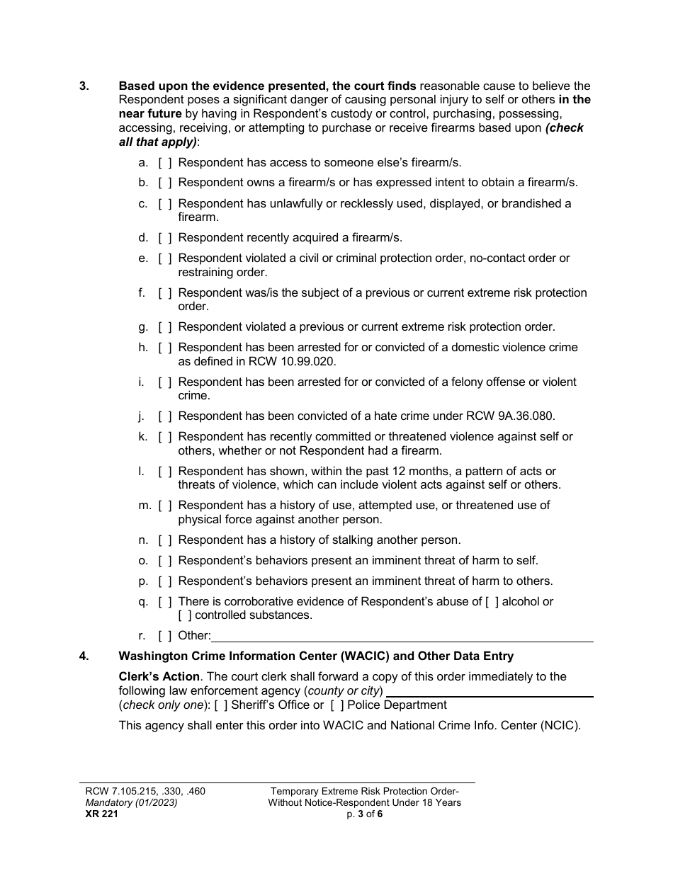
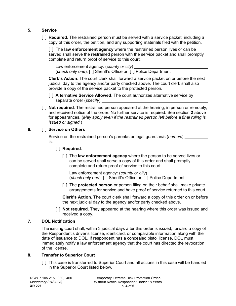
A: Form XR221 is a document used in Washington to obtain a Temporary Extreme Risk Protection Order without notice when the respondent is under 18 years old.

Q: What is a Temporary Extreme Risk Protection Order?
A: A Temporary Extreme Risk Protection Order is a court order that prohibits a person from possessing firearms or ammunition for a limited period of time to prevent them from causing harm to themselves or others.

Q: What does 'without notice' mean in the context of this form?
A: 'Without notice' means that the order can be issued without providing prior notification to the respondent (the person the order is aimed at).

Q: Who can file Form XR221?
A: A person who believes that an individual under 18 years old poses a significant risk of harm to themselves or others by possessing firearms or ammunition can file Form XR221.

Q: How long does a Temporary Extreme Risk Protection Order last?
A: A Temporary Extreme Risk Protection Order can last for up to 14 days, but it can be extended for additional periods of time if necessary to protect the safety of the petitioner or others.

ADVERTISEMENT

Form Details:

  • Released on January 1, 2023;
  • The latest edition provided by the Washington State Courts;
  • Easy to use and ready to print;
  • Quick to customize;
  • Compatible with most PDF-viewing applications;
  • Fill out the form in our online filing application.

Download a printable version of Form XR221 by clicking the link below or browse more documents and templates provided by the Washington State Courts.

Download Form XR221 Temporary Extreme Risk Protection Order - Without Notice - Respondent Under 18 Years - Washington

4.5 of 5 (12 votes)
  • Form XR221 Temporary Extreme Risk Protection Order - Without Notice - Respondent Under 18 Years - Washington

    1

  • Form XR221 Temporary Extreme Risk Protection Order - Without Notice - Respondent Under 18 Years - Washington, Page 2

    2

  • Form XR221 Temporary Extreme Risk Protection Order - Without Notice - Respondent Under 18 Years - Washington, Page 3

    3

  • Form XR221 Temporary Extreme Risk Protection Order - Without Notice - Respondent Under 18 Years - Washington, Page 4

    4

  • Form XR221 Temporary Extreme Risk Protection Order - Without Notice - Respondent Under 18 Years - Washington, Page 5

    5

  • Form XR221 Temporary Extreme Risk Protection Order - Without Notice - Respondent Under 18 Years - Washington, Page 6

    6

  • Form XR221 Temporary Extreme Risk Protection Order - Without Notice - Respondent Under 18 Years - Washington, Page 1
  • Form XR221 Temporary Extreme Risk Protection Order - Without Notice - Respondent Under 18 Years - Washington, Page 2
  • Form XR221 Temporary Extreme Risk Protection Order - Without Notice - Respondent Under 18 Years - Washington, Page 3
  • Form XR221 Temporary Extreme Risk Protection Order - Without Notice - Respondent Under 18 Years - Washington, Page 4
  • Form XR221 Temporary Extreme Risk Protection Order - Without Notice - Respondent Under 18 Years - Washington, Page 5
  • Form XR221 Temporary Extreme Risk Protection Order - Without Notice - Respondent Under 18 Years - Washington, Page 6
Prev 1 2 3 4 5 6 Next
ADVERTISEMENT