Form WPF CR84.0400 PSKO Felony Judgment and Sentence - Prison (Sex Offense and Kidnapping of a Minor) - Washington

Notification Icon This version of the form is not currently in use and is provided for reference only. Download this version of Form WPF CR84.0400 PSKO for the current year.

Form WPF CR84.0400 PSKO Felony Judgment and Sentence - Prison (Sex Offense and Kidnapping of a Minor) - Washington

What Is Form WPF CR84.0400 PSKO?

This is a legal form that was released by the Washington Superior Court - a government authority operating within Washington. As of today, no separate filing guidelines for the form are provided by the issuing department.

FAQ

Q: What is Form WPF CR84.0400?
A: Form WPF CR84.0400 is a document for a Felony Judgment and Sentence - Prison (Sex Offense and Kidnapping of a Minor) specifically designed for Washington state.

Q: What is the purpose of Form WPF CR84.0400?
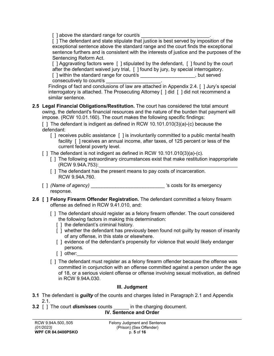
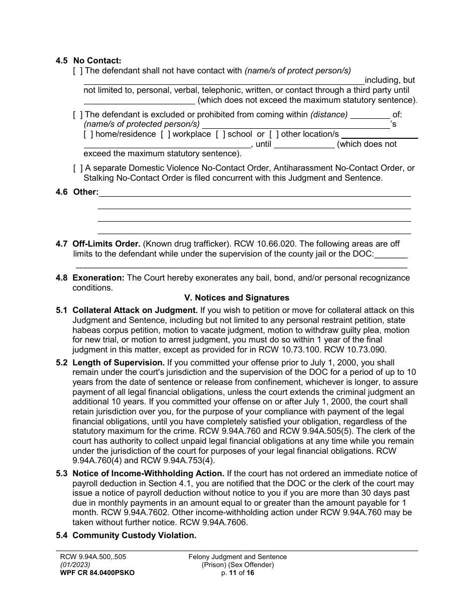
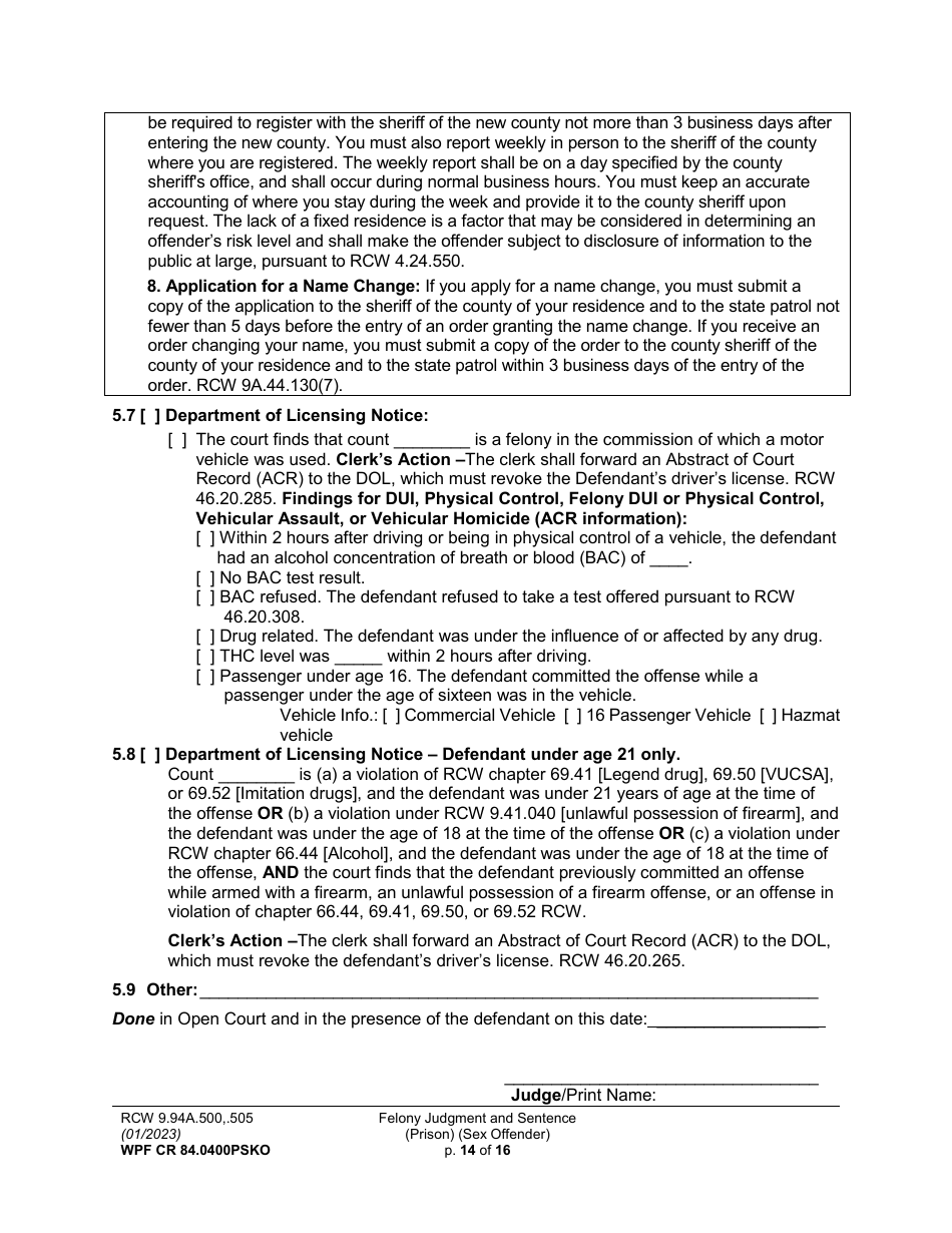
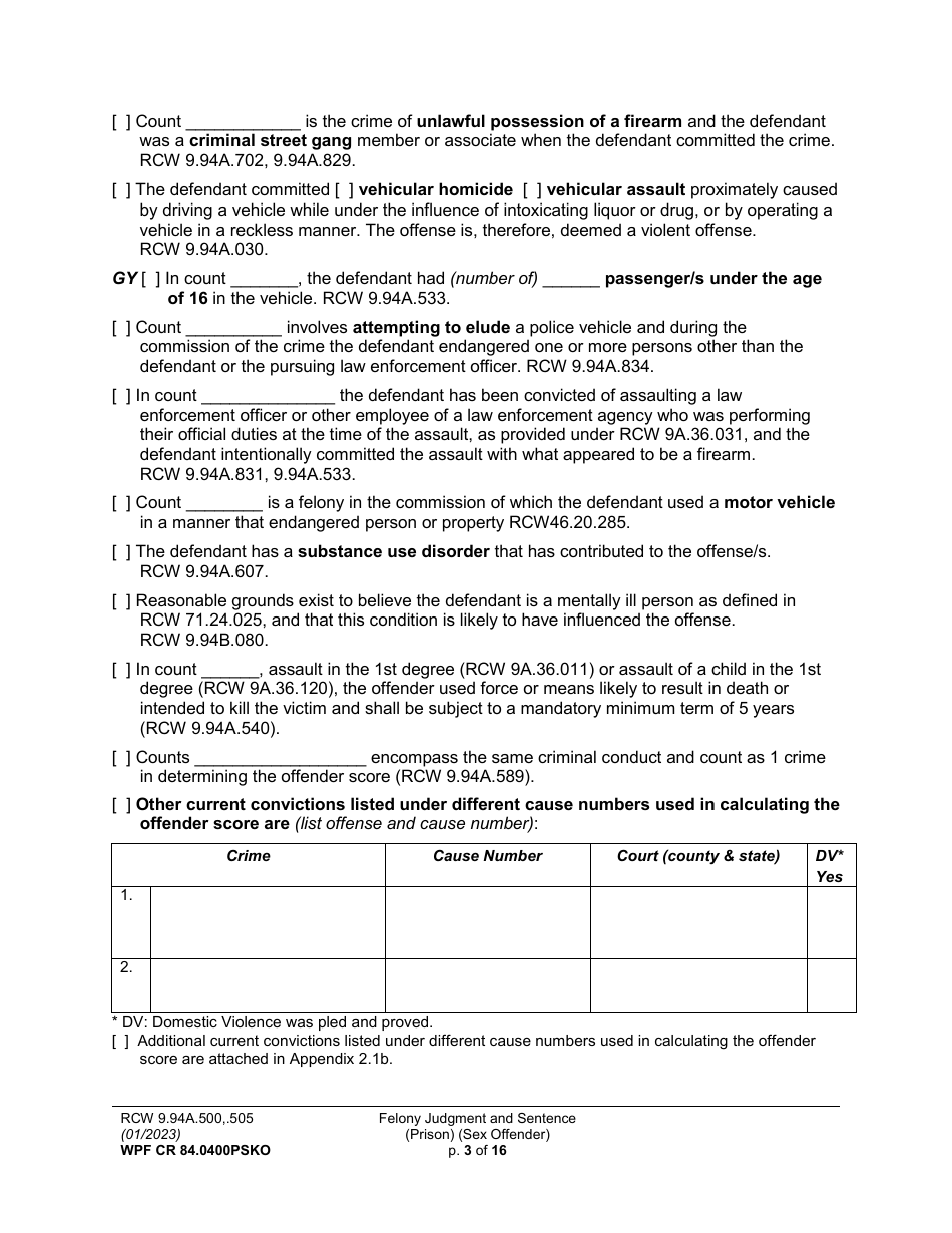
A: The purpose of this form is to record the judgment and sentence for a felony conviction related to a sex offense and kidnapping of a minor, which carries a prison sentence.

Q: Who is this form intended for?
A: This form is specifically intended for use in Washington state for cases involving felony convictions of sex offenses and kidnapping of a minor.

Q: What information is included in Form WPF CR84.0400?
A: The form includes information about the defendant, the offense, the verdict, and the sentence imposed by the court.

ADVERTISEMENT

Form Details:

  • Released on January 1, 2023;
  • The latest edition provided by the Washington Superior Court;
  • Easy to use and ready to print;
  • Quick to customize;
  • Compatible with most PDF-viewing applications;
  • Fill out the form in our online filing application.

Download a printable version of Form WPF CR84.0400 PSKO by clicking the link below or browse more documents and templates provided by the Washington Superior Court.

Download Form WPF CR84.0400 PSKO Felony Judgment and Sentence - Prison (Sex Offense and Kidnapping of a Minor) - Washington

4.6 of 5 (13 votes)
  • Form WPF CR84.0400 PSKO Felony Judgment and Sentence - Prison (Sex Offense and Kidnapping of a Minor) - Washington

    1

  • Form WPF CR84.0400 PSKO Felony Judgment and Sentence - Prison (Sex Offense and Kidnapping of a Minor) - Washington, Page 2

    2

  • Form WPF CR84.0400 PSKO Felony Judgment and Sentence - Prison (Sex Offense and Kidnapping of a Minor) - Washington, Page 3

    3

  • Form WPF CR84.0400 PSKO Felony Judgment and Sentence - Prison (Sex Offense and Kidnapping of a Minor) - Washington, Page 4

    4

  • Form WPF CR84.0400 PSKO Felony Judgment and Sentence - Prison (Sex Offense and Kidnapping of a Minor) - Washington, Page 5

    5

  • Form WPF CR84.0400 PSKO Felony Judgment and Sentence - Prison (Sex Offense and Kidnapping of a Minor) - Washington, Page 6

    6

  • Form WPF CR84.0400 PSKO Felony Judgment and Sentence - Prison (Sex Offense and Kidnapping of a Minor) - Washington, Page 7

    7

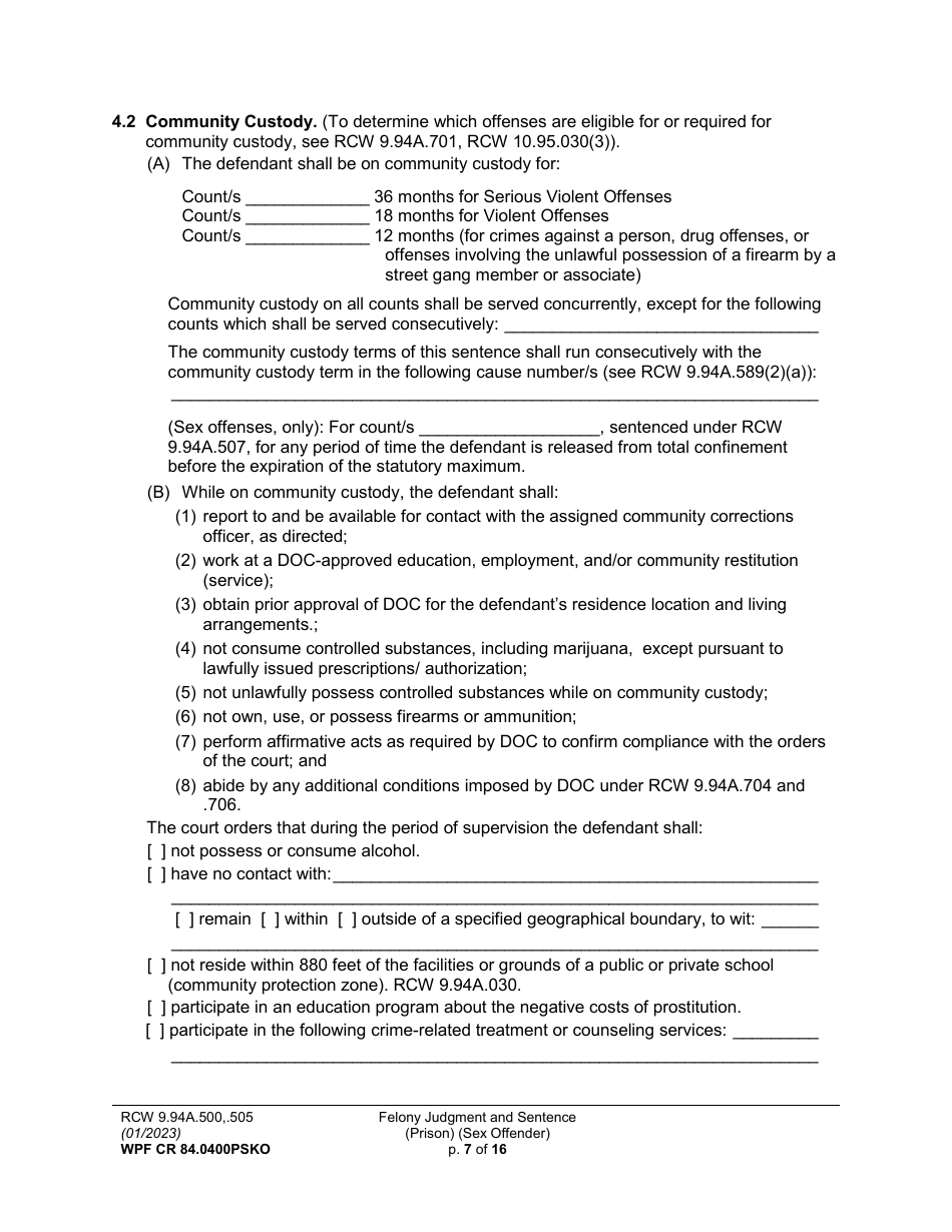
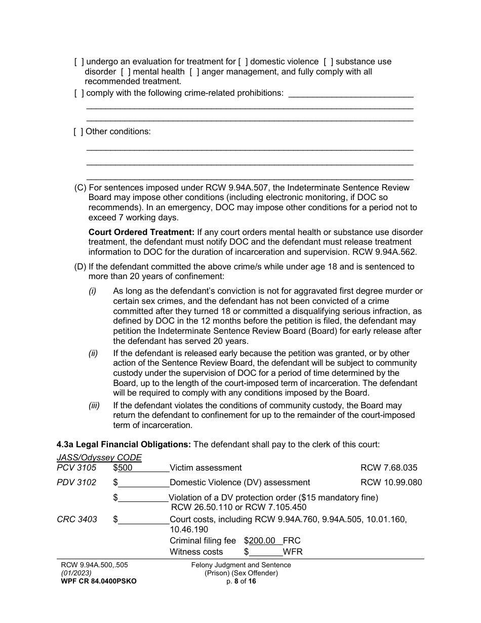
  • Form WPF CR84.0400 PSKO Felony Judgment and Sentence - Prison (Sex Offense and Kidnapping of a Minor) - Washington, Page 8

    8

  • Form WPF CR84.0400 PSKO Felony Judgment and Sentence - Prison (Sex Offense and Kidnapping of a Minor) - Washington, Page 9

    9

  • Form WPF CR84.0400 PSKO Felony Judgment and Sentence - Prison (Sex Offense and Kidnapping of a Minor) - Washington, Page 10

    10

  • Form WPF CR84.0400 PSKO Felony Judgment and Sentence - Prison (Sex Offense and Kidnapping of a Minor) - Washington, Page 11

    11

  • Form WPF CR84.0400 PSKO Felony Judgment and Sentence - Prison (Sex Offense and Kidnapping of a Minor) - Washington, Page 12

    12

  • Form WPF CR84.0400 PSKO Felony Judgment and Sentence - Prison (Sex Offense and Kidnapping of a Minor) - Washington, Page 13

    13

  • Form WPF CR84.0400 PSKO Felony Judgment and Sentence - Prison (Sex Offense and Kidnapping of a Minor) - Washington, Page 14

    14

  • Form WPF CR84.0400 PSKO Felony Judgment and Sentence - Prison (Sex Offense and Kidnapping of a Minor) - Washington, Page 15

    15

  • Form WPF CR84.0400 PSKO Felony Judgment and Sentence - Prison (Sex Offense and Kidnapping of a Minor) - Washington, Page 16

    16

  • Form WPF CR84.0400 PSKO Felony Judgment and Sentence - Prison (Sex Offense and Kidnapping of a Minor) - Washington, Page 1
  • Form WPF CR84.0400 PSKO Felony Judgment and Sentence - Prison (Sex Offense and Kidnapping of a Minor) - Washington, Page 2
  • Form WPF CR84.0400 PSKO Felony Judgment and Sentence - Prison (Sex Offense and Kidnapping of a Minor) - Washington, Page 3
  • Form WPF CR84.0400 PSKO Felony Judgment and Sentence - Prison (Sex Offense and Kidnapping of a Minor) - Washington, Page 4
  • Form WPF CR84.0400 PSKO Felony Judgment and Sentence - Prison (Sex Offense and Kidnapping of a Minor) - Washington, Page 5
  • Form WPF CR84.0400 PSKO Felony Judgment and Sentence - Prison (Sex Offense and Kidnapping of a Minor) - Washington, Page 6
  • Form WPF CR84.0400 PSKO Felony Judgment and Sentence - Prison (Sex Offense and Kidnapping of a Minor) - Washington, Page 7
  • Form WPF CR84.0400 PSKO Felony Judgment and Sentence - Prison (Sex Offense and Kidnapping of a Minor) - Washington, Page 8
  • Form WPF CR84.0400 PSKO Felony Judgment and Sentence - Prison (Sex Offense and Kidnapping of a Minor) - Washington, Page 9
  • Form WPF CR84.0400 PSKO Felony Judgment and Sentence - Prison (Sex Offense and Kidnapping of a Minor) - Washington, Page 10
  • Form WPF CR84.0400 PSKO Felony Judgment and Sentence - Prison (Sex Offense and Kidnapping of a Minor) - Washington, Page 11
  • Form WPF CR84.0400 PSKO Felony Judgment and Sentence - Prison (Sex Offense and Kidnapping of a Minor) - Washington, Page 12
  • Form WPF CR84.0400 PSKO Felony Judgment and Sentence - Prison (Sex Offense and Kidnapping of a Minor) - Washington, Page 13
  • Form WPF CR84.0400 PSKO Felony Judgment and Sentence - Prison (Sex Offense and Kidnapping of a Minor) - Washington, Page 14
  • Form WPF CR84.0400 PSKO Felony Judgment and Sentence - Prison (Sex Offense and Kidnapping of a Minor) - Washington, Page 15
  • Form WPF CR84.0400 PSKO Felony Judgment and Sentence - Prison (Sex Offense and Kidnapping of a Minor) - Washington, Page 16
Prev 1 2 3 4 5 ... 16 Next
ADVERTISEMENT