Form PO001 Petition for Protection Order - Washington

Notification Icon This version of the form is not currently in use and is provided for reference only. Download this version of Form PO001 for the current year.

Form PO001 Petition for Protection Order - Washington

What Is Form PO001?

This is a legal form that was released by the Washington State Courts - a government authority operating within Washington. As of today, no separate filing guidelines for the form are provided by the issuing department.

FAQ

Q: What is Form PO001?
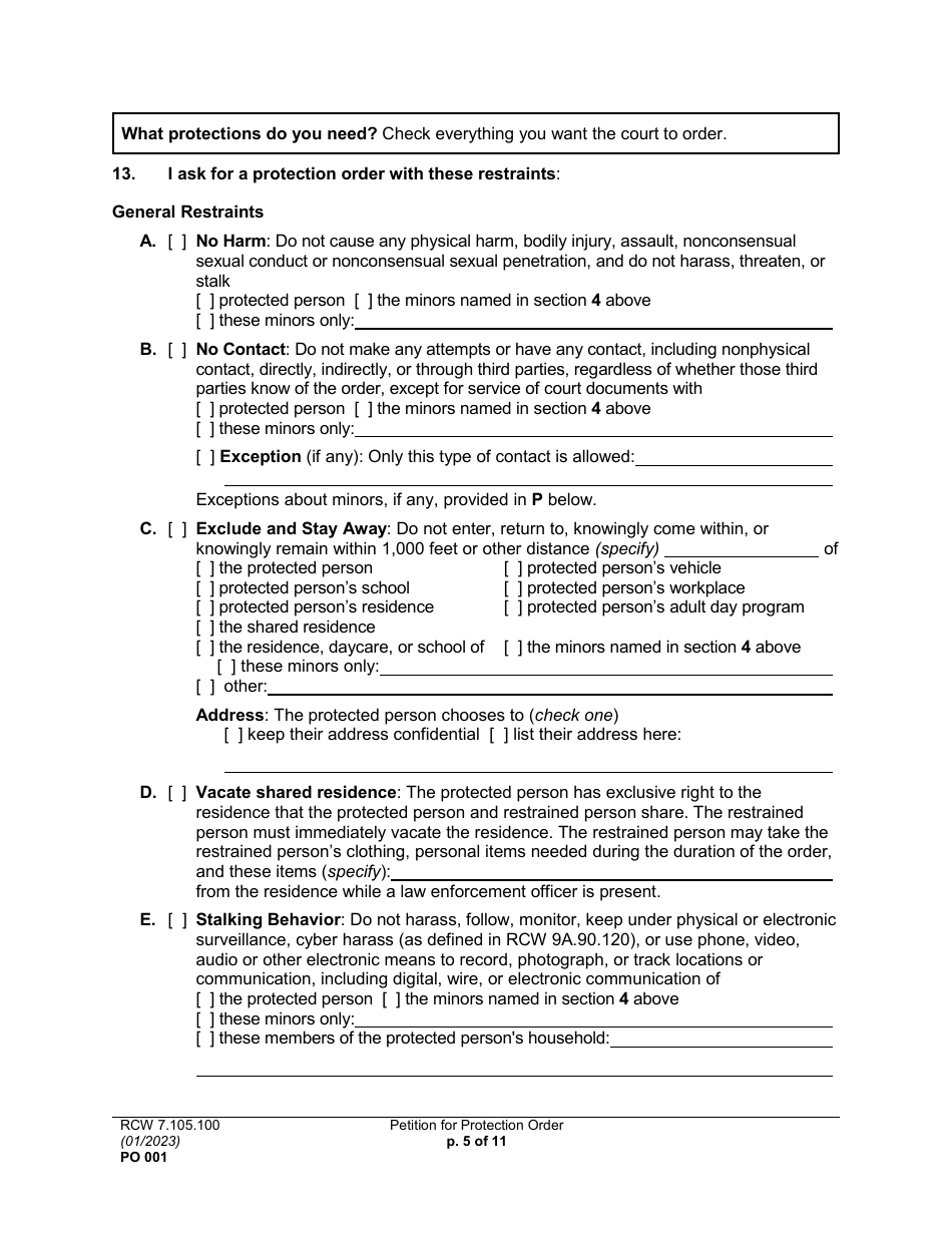
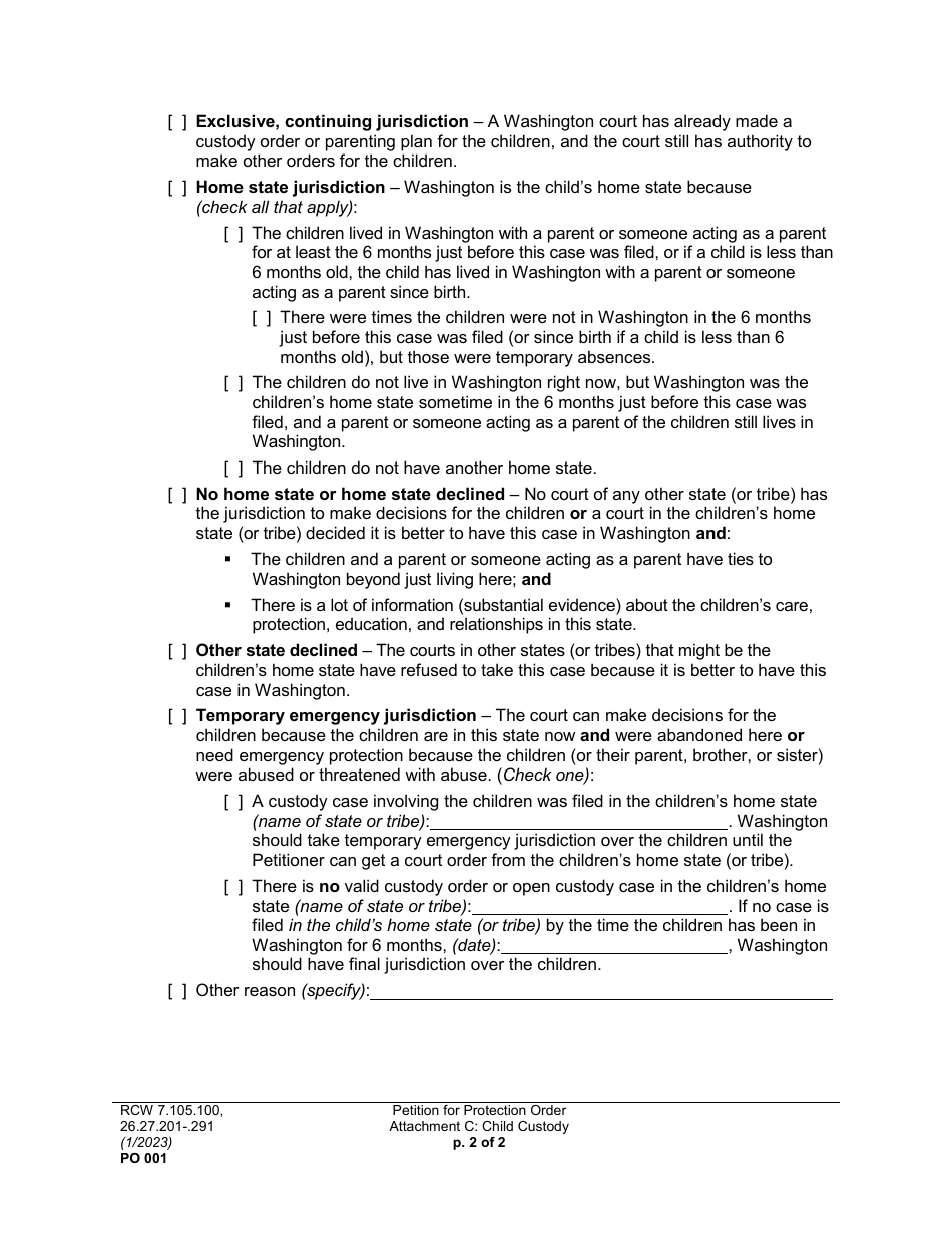
A: Form PO001 is the Petition for Protection Order in Washington. It is used to request a protection order from the court.

Q: Who can use Form PO001?
A: Any person who believes they are being harassed, stalked, threatened, or abused can use Form PO001 to request a protection order.

Q: What information is needed on Form PO001?
A: You will need to provide information about yourself, the person you are seeking protection from, the reasons for seeking the order, and any supporting evidence.

Q: Do I need a lawyer to fill out Form PO001?
A: You do not need a lawyer to fill out Form PO001, but you may choose to seek legal advice if you have any questions or concerns.

Q: What happens after I file Form PO001?
A: Once you file Form PO001, the court will review your petition and may schedule a hearing to determine whether to grant the protection order.

Q: How long does a protection order last?
A: The length of a protection order can vary, but typically it lasts for one year. It can be extended or modified if necessary.

Q: What should I do if the person violates the protection order?
A: If the person violates the protection order, you should contact law enforcement immediately and report the violation.

Q: Can I modify or terminate a protection order?
A: Yes, you can request to modify or terminate a protection order by filing a motion with the court and providing a valid reason for the request.

Q: Is there a fee to file Form PO001?
A: There may be a filing fee associated with Form PO001. However, you may be eligible for a fee waiver if you meet certain criteria.

ADVERTISEMENT

Form Details:

  • Released on January 1, 2023;
  • The latest edition provided by the Washington State Courts;
  • Easy to use and ready to print;
  • Available in Chinese;
  • Quick to customize;
  • Compatible with most PDF-viewing applications;
  • Fill out the form in our online filing application.

Download a printable version of Form PO001 by clicking the link below or browse more documents and templates provided by the Washington State Courts.

Download Form PO001 Petition for Protection Order - Washington

4.4 of 5 (10 votes)
  • Form PO001 Petition for Protection Order - Washington

    1

  • Form PO001 Petition for Protection Order - Washington, Page 2

    2

  • Form PO001 Petition for Protection Order - Washington, Page 3

    3

  • Form PO001 Petition for Protection Order - Washington, Page 4

    4

  • Form PO001 Petition for Protection Order - Washington, Page 5

    5

  • Form PO001 Petition for Protection Order - Washington, Page 6

    6

  • Form PO001 Petition for Protection Order - Washington, Page 7

    7

  • Form PO001 Petition for Protection Order - Washington, Page 8

    8

  • Form PO001 Petition for Protection Order - Washington, Page 9

    9

  • Form PO001 Petition for Protection Order - Washington, Page 10

    10

  • Form PO001 Petition for Protection Order - Washington, Page 11

    11

  • Form PO001 Petition for Protection Order - Washington, Page 12

    12

  • Form PO001 Petition for Protection Order - Washington, Page 13

    13

  • Form PO001 Petition for Protection Order - Washington, Page 14

    14

  • Form PO001 Petition for Protection Order - Washington, Page 15

    15

  • Form PO001 Petition for Protection Order - Washington, Page 16

    16

  • Form PO001 Petition for Protection Order - Washington, Page 17

    17

  • Form PO001 Petition for Protection Order - Washington, Page 18

    18

  • Form PO001 Petition for Protection Order - Washington, Page 19

    19

  • Form PO001 Petition for Protection Order - Washington, Page 20

    20

  • Form PO001 Petition for Protection Order - Washington, Page 21

    21

  • Form PO001 Petition for Protection Order - Washington, Page 1
  • Form PO001 Petition for Protection Order - Washington, Page 2
  • Form PO001 Petition for Protection Order - Washington, Page 3
  • Form PO001 Petition for Protection Order - Washington, Page 4
  • Form PO001 Petition for Protection Order - Washington, Page 5
  • Form PO001 Petition for Protection Order - Washington, Page 6
  • Form PO001 Petition for Protection Order - Washington, Page 7
  • Form PO001 Petition for Protection Order - Washington, Page 8
  • Form PO001 Petition for Protection Order - Washington, Page 9
  • Form PO001 Petition for Protection Order - Washington, Page 10
  • Form PO001 Petition for Protection Order - Washington, Page 11
  • Form PO001 Petition for Protection Order - Washington, Page 12
  • Form PO001 Petition for Protection Order - Washington, Page 13
  • Form PO001 Petition for Protection Order - Washington, Page 14
  • Form PO001 Petition for Protection Order - Washington, Page 15
  • Form PO001 Petition for Protection Order - Washington, Page 16
  • Form PO001 Petition for Protection Order - Washington, Page 17
  • Form PO001 Petition for Protection Order - Washington, Page 18
  • Form PO001 Petition for Protection Order - Washington, Page 19
  • Form PO001 Petition for Protection Order - Washington, Page 20
  • Form PO001 Petition for Protection Order - Washington, Page 21
Prev 1 2 3 4 5 ... 21 Next
ADVERTISEMENT

Related Documents