Form PO040 Protection Order - Washington

Notification Icon This version of the form is not currently in use and is provided for reference only. Download this version of Form PO040 for the current year.

Form PO040 Protection Order - Washington

What Is Form PO040?

This is a legal form that was released by the Washington State Courts - a government authority operating within Washington. Check the official instructions before completing and submitting the form.

FAQ

Q: What is a PO040 Protection Order?
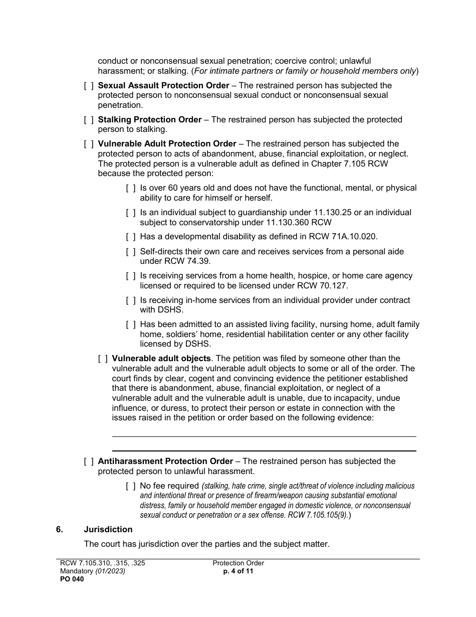
A: A PO040 Protection Order is a legal document issued by a court to protect a person from harassment, domestic violence or stalking.

Q: How can I get a PO040 Protection Order in Washington?
A: To get a PO040 Protection Order in Washington, you need to file a petition with the court and provide evidence of harassment, domestic violence or stalking.

Q: Who can get a PO040 Protection Order?
A: Anyone who is a victim of harassment, domestic violence or stalking can apply for a PO040 Protection Order.

Q: What can a PO040 Protection Order do?
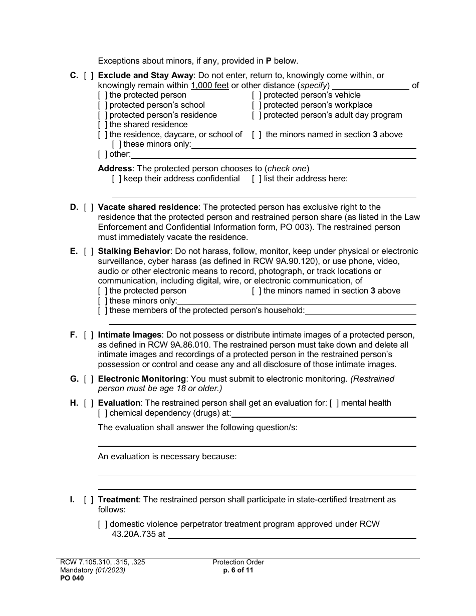
A: A PO040 Protection Order can order the person causing harm to stay away from the victim, prohibit contact or communication, and provide other necessary protections.

Q: How long does a PO040 Protection Order last?
A: A PO040 Protection Order can last for a specific period of time, typically up to one year, but it can be extended if necessary.

Q: What should I do if someone violates a PO040 Protection Order?
A: If someone violates a PO040 Protection Order, you should contact the police and report the violation. The court can take further action against the violator.

Q: Can I modify or terminate a PO040 Protection Order?
A: Yes, you can request the court to modify or terminate a PO040 Protection Order if there is a change in circumstances or if you no longer need the order.

Q: Is a PO040 Protection Order valid in other states?
A: A PO040 Protection Order is valid in all states under the Full Faith and Credit clause of the United States Constitution. However, you may need to register or enforce the order in another state.

ADVERTISEMENT

Form Details:

  • Released on January 1, 2023;
  • The latest edition provided by the Washington State Courts;
  • Easy to use and ready to print;
  • Available in Chinese;
  • Quick to customize;
  • Compatible with most PDF-viewing applications;
  • Fill out the form in our online filing application.

Download a printable version of Form PO040 by clicking the link below or browse more documents and templates provided by the Washington State Courts.

Download Form PO040 Protection Order - Washington

4.4 of 5 (9 votes)
  • Form PO040 Protection Order - Washington

    1

  • Form PO040 Protection Order - Washington, Page 2

    2

  • Form PO040 Protection Order - Washington, Page 3

    3

  • Form PO040 Protection Order - Washington, Page 4

    4

  • Form PO040 Protection Order - Washington, Page 5

    5

  • Form PO040 Protection Order - Washington, Page 6

    6

  • Form PO040 Protection Order - Washington, Page 7

    7

  • Form PO040 Protection Order - Washington, Page 8

    8

  • Form PO040 Protection Order - Washington, Page 9

    9

  • Form PO040 Protection Order - Washington, Page 10

    10

  • Form PO040 Protection Order - Washington, Page 11

    11

  • Form PO040 Protection Order - Washington, Page 1
  • Form PO040 Protection Order - Washington, Page 2
  • Form PO040 Protection Order - Washington, Page 3
  • Form PO040 Protection Order - Washington, Page 4
  • Form PO040 Protection Order - Washington, Page 5
  • Form PO040 Protection Order - Washington, Page 6
  • Form PO040 Protection Order - Washington, Page 7
  • Form PO040 Protection Order - Washington, Page 8
  • Form PO040 Protection Order - Washington, Page 9
  • Form PO040 Protection Order - Washington, Page 10
  • Form PO040 Protection Order - Washington, Page 11
Prev 1 2 3 4 5 ... 11 Next
ADVERTISEMENT

Related Documents