Reference Filing Adoption Form - Rhode Island

Reference Filing Adoption Form - Rhode Island

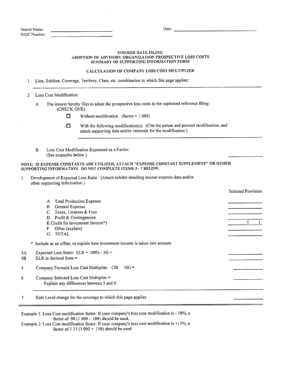
Reference Filing Adoption Form is a legal document that was released by the Rhode Island Department of Business Regulation - a government authority operating within Rhode Island.

FAQ

Q: What is the process for filing an adoption form in Rhode Island?
A: To file an adoption form in Rhode Island, you must first complete the necessary paperwork and documentation. This includes filling out the adoption form provided by the Rhode Island Family Court and gathering all required supporting documents such as birth certificates and consent forms. Once the forms are completed and all necessary documents are collected, they can be submitted to the Family Court for review.

Q: What documents do I need to include when filing the adoption form in Rhode Island?
A: When filing the adoption form in Rhode Island, you will need to include various documents such as the child's birth certificate, consent forms from the biological parents, background checks, and any other required supporting documentation. It is essential to carefully review the instructions provided with the adoption form to ensure you include all the necessary documents.

Q: What is the timeline for processing an adoption form in Rhode Island?
A: The timeline for processing an adoption form in Rhode Island can vary depending on various factors such as the complexity of the case and the court's caseload. It is recommended to reach out to the Rhode Island Family Court for more specific information on the expected timeline for your adoption case.

ADVERTISEMENT

Form Details:

  • The latest edition currently provided by the Rhode Island Department of Business Regulation;
  • Ready to use and print;
  • Easy to customize;
  • Compatible with most PDF-viewing applications;
  • Fill out the form in our online filing application.

Download a printable version of the form by clicking the link below or browse more documents and templates provided by the Rhode Island Department of Business Regulation.

Download Reference Filing Adoption Form - Rhode Island

4.8 of 5 (12 votes)
  • Reference Filing Adoption Form - Rhode Island

    1

  • Reference Filing Adoption Form - Rhode Island, Page 2

    2

  • Reference Filing Adoption Form - Rhode Island, Page 3

    3

  • Reference Filing Adoption Form - Rhode Island, Page 1
  • Reference Filing Adoption Form - Rhode Island, Page 2
  • Reference Filing Adoption Form - Rhode Island, Page 3
Prev 1 2 3 Next
ADVERTISEMENT