Sc EMS Request for Change Form - South Carolina

Sc EMS Request for Change Form - South Carolina

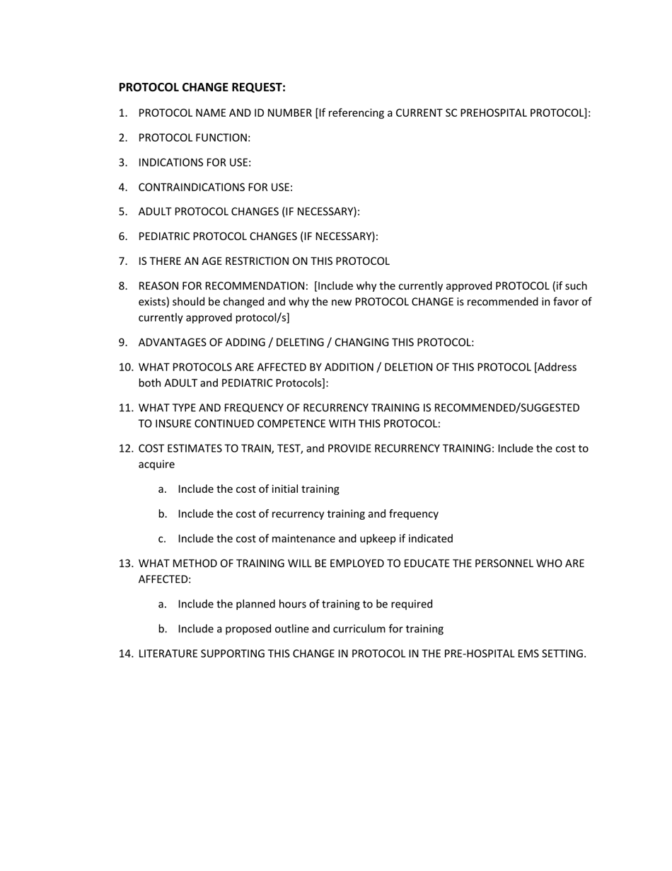
Sc EMS Request for Change Form is a legal document that was released by the South Carolina Department of Health and Environmental Control - a government authority operating within South Carolina.

FAQ

Q: What is the SC EMS Request for Change Form?
A: The SC EMS Request for Change Form is a document used in South Carolina to request changes in EMS services.

Q: Who can use the SC EMS Request for Change Form?
A: EMS providers and agencies in South Carolina can use the form to request changes.

Q: What changes can be requested using the SC EMS Request for Change Form?
A: The form can be used to request changes in EMS protocols, equipment, services, or other related matters.

Q: Is there a deadline for submitting the SC EMS Request for Change Form?
A: There is no specific deadline mentioned for submitting the form, but it is recommended to submit it as soon as possible.

Q: What should be included in the SC EMS Request for Change Form?
A: The form should include details about the requested change, justification, potential impact, and contact information of the requester.

ADVERTISEMENT

Form Details:

  • The latest edition currently provided by the South Carolina Department of Health and Environmental Control;
  • Ready to use and print;
  • Easy to customize;
  • Compatible with most PDF-viewing applications;
  • Fill out the form in our online filing application.

Download a printable version of the form by clicking the link below or browse more documents and templates provided by the South Carolina Department of Health and Environmental Control.

Download Sc EMS Request for Change Form - South Carolina

4.5 of 5 (27 votes)
  • Sc EMS Request for Change Form - South Carolina

    1

  • Sc EMS Request for Change Form - South Carolina, Page 2

    2

  • Sc EMS Request for Change Form - South Carolina, Page 3

    3

  • Sc EMS Request for Change Form - South Carolina, Page 4

    4

  • Sc EMS Request for Change Form - South Carolina, Page 5

    5

  • Sc EMS Request for Change Form - South Carolina, Page 6

    6

  • Sc EMS Request for Change Form - South Carolina, Page 1
  • Sc EMS Request for Change Form - South Carolina, Page 2
  • Sc EMS Request for Change Form - South Carolina, Page 3
  • Sc EMS Request for Change Form - South Carolina, Page 4
  • Sc EMS Request for Change Form - South Carolina, Page 5
  • Sc EMS Request for Change Form - South Carolina, Page 6
Prev 1 2 3 4 5 6 Next
ADVERTISEMENT