Instructions for Form C-ADD-XLSM Chemical Addition Report - Massachusetts

Notification Icon This version of the form is not currently in use and is provided for reference only. Download this version of Instructions for Form C-ADD-XLSM for the current year.

Instructions for Form C-ADD-XLSM Chemical Addition Report - Massachusetts

This document contains official instructions for Form C-ADD-XLSM , Chemical Addition Report - a form released and collected by the Massachusetts Department of Environmental Protection.

FAQ

Q: What is Form C-ADD-XLSM?
A: Form C-ADD-XLSM is the Chemical Addition Report form used in Massachusetts.

Q: What is the purpose of Form C-ADD-XLSM?
A: The purpose of Form C-ADD-XLSM is to report information about chemical additions to the Massachusetts Department of Environmental Protection.

Q: Is Form C-ADD-XLSM required for all chemical additions?
A: Yes, Form C-ADD-XLSM is required for all chemical additions that meet the reporting thresholds set by the Massachusetts Department of Environmental Protection.

Q: What information do I need to provide on Form C-ADD-XLSM?
A: You need to provide information about the facility, the chemical being added, the volume of the chemical, and other relevant details.

Q: When do I need to submit Form C-ADD-XLSM?
A: Form C-ADD-XLSM must be submitted within 60 days of the end of the calendar quarter in which the chemical addition occurred.

Q: Are there any fees associated with submitting Form C-ADD-XLSM?
A: No, there are no fees associated with submitting Form C-ADD-XLSM.

Q: What happens after I submit Form C-ADD-XLSM?
A: After you submit Form C-ADD-XLSM, the Massachusetts Department of Environmental Protection will review the information and may take further action if necessary.

ADVERTISEMENT

Instruction Details:

  • This 11-page document is available for download in PDF;
  • Actual and applicable for the current year;
  • Complete, printable, and free.

Download your copy of the instructions by clicking the link below or browse hundreds of other forms in our library of forms released by the Massachusetts Department of Environmental Protection.

Download Instructions for Form C-ADD-XLSM Chemical Addition Report - Massachusetts

4.7 of 5 (17 votes)
  • Instructions for Form C-ADD-XLSM Chemical Addition Report - Massachusetts

    1

  • Instructions for Form C-ADD-XLSM Chemical Addition Report - Massachusetts, Page 2

    2

  • Instructions for Form C-ADD-XLSM Chemical Addition Report - Massachusetts, Page 3

    3

  • Instructions for Form C-ADD-XLSM Chemical Addition Report - Massachusetts, Page 4

    4

  • Instructions for Form C-ADD-XLSM Chemical Addition Report - Massachusetts, Page 5

    5

  • Instructions for Form C-ADD-XLSM Chemical Addition Report - Massachusetts, Page 6

    6

  • Instructions for Form C-ADD-XLSM Chemical Addition Report - Massachusetts, Page 7

    7

  • Instructions for Form C-ADD-XLSM Chemical Addition Report - Massachusetts, Page 8

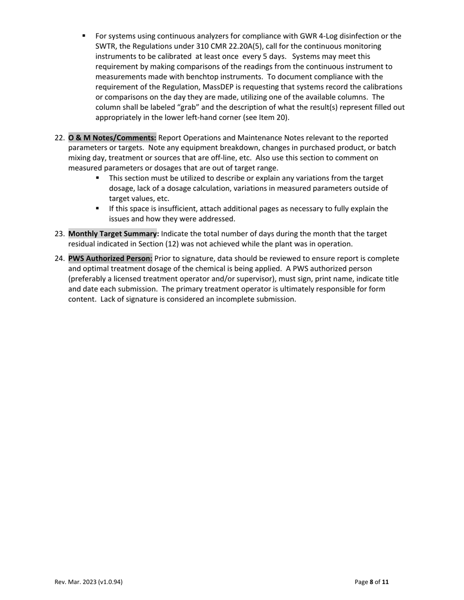
    8

  • Instructions for Form C-ADD-XLSM Chemical Addition Report - Massachusetts, Page 9

    9

  • Instructions for Form C-ADD-XLSM Chemical Addition Report - Massachusetts, Page 10

    10

  • Instructions for Form C-ADD-XLSM Chemical Addition Report - Massachusetts, Page 11

    11

  • Instructions for Form C-ADD-XLSM Chemical Addition Report - Massachusetts, Page 1
  • Instructions for Form C-ADD-XLSM Chemical Addition Report - Massachusetts, Page 2
  • Instructions for Form C-ADD-XLSM Chemical Addition Report - Massachusetts, Page 3
  • Instructions for Form C-ADD-XLSM Chemical Addition Report - Massachusetts, Page 4
  • Instructions for Form C-ADD-XLSM Chemical Addition Report - Massachusetts, Page 5
  • Instructions for Form C-ADD-XLSM Chemical Addition Report - Massachusetts, Page 6
  • Instructions for Form C-ADD-XLSM Chemical Addition Report - Massachusetts, Page 7
  • Instructions for Form C-ADD-XLSM Chemical Addition Report - Massachusetts, Page 8
  • Instructions for Form C-ADD-XLSM Chemical Addition Report - Massachusetts, Page 9
  • Instructions for Form C-ADD-XLSM Chemical Addition Report - Massachusetts, Page 10
  • Instructions for Form C-ADD-XLSM Chemical Addition Report - Massachusetts, Page 11
Prev 1 2 3 4 5 ... 11 Next
ADVERTISEMENT