Form NHJB-2220-F Delinquency Adjudicatory Hearing Order - New Hampshire

Form NHJB-2220-F Delinquency Adjudicatory Hearing Order - New Hampshire

What Is Form NHJB-2220-F?

This is a legal form that was released by the New Hampshire Judicial Branch - a government authority operating within New Hampshire. As of today, no separate filing guidelines for the form are provided by the issuing department.

FAQ

Q: What is Form NHJB-2220-F?
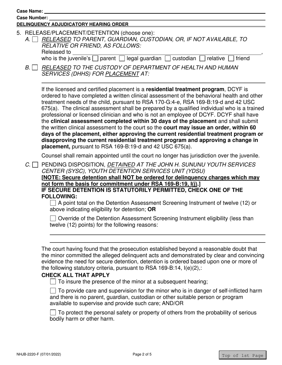
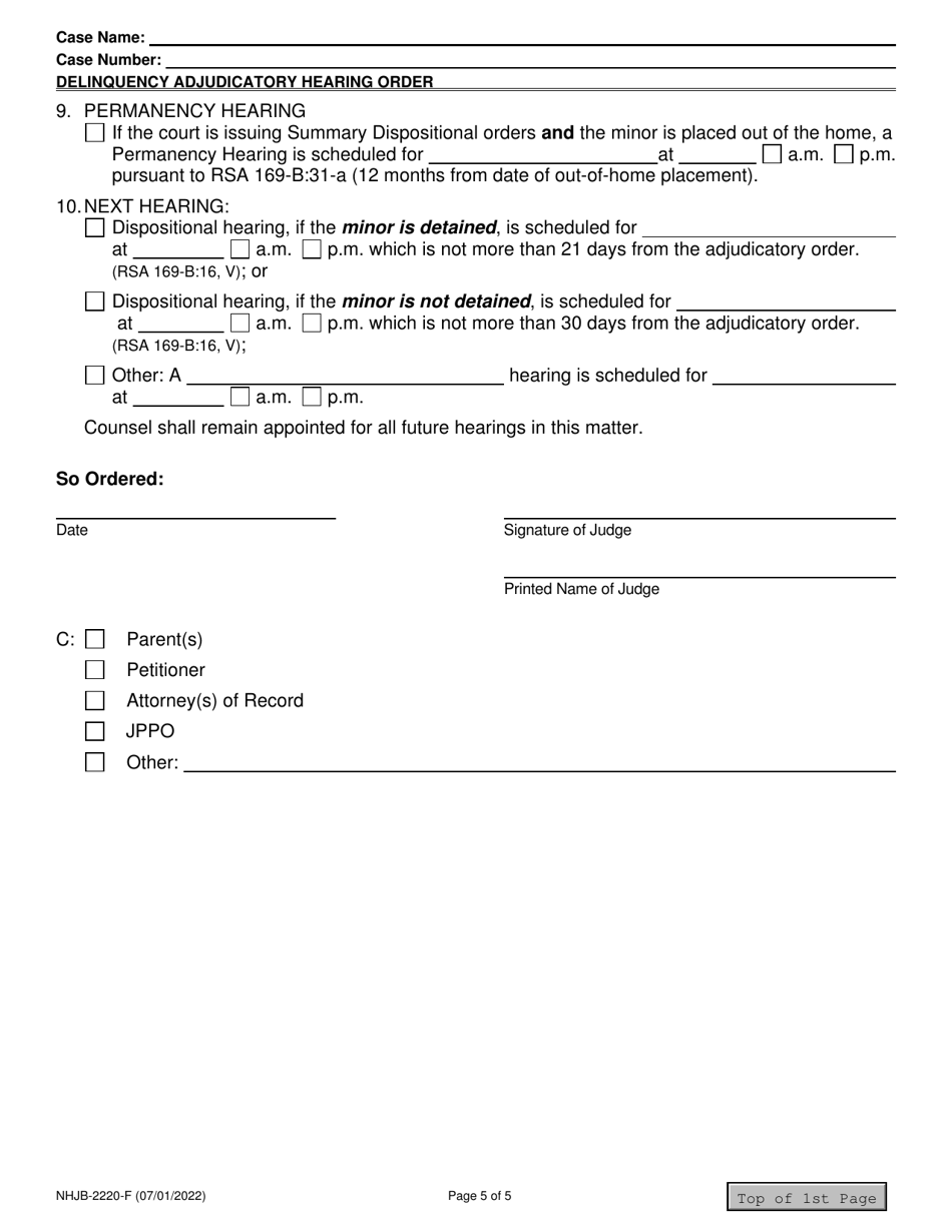
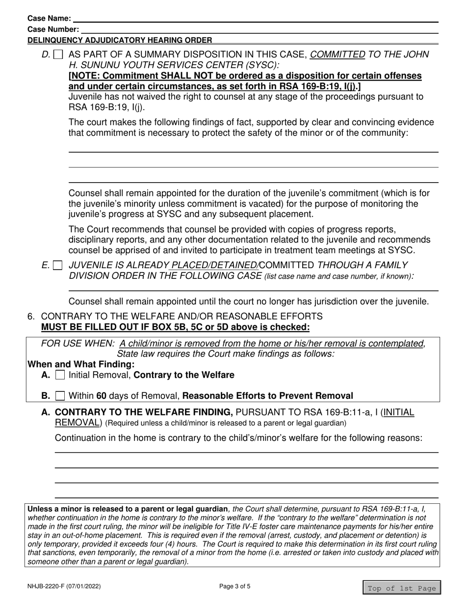
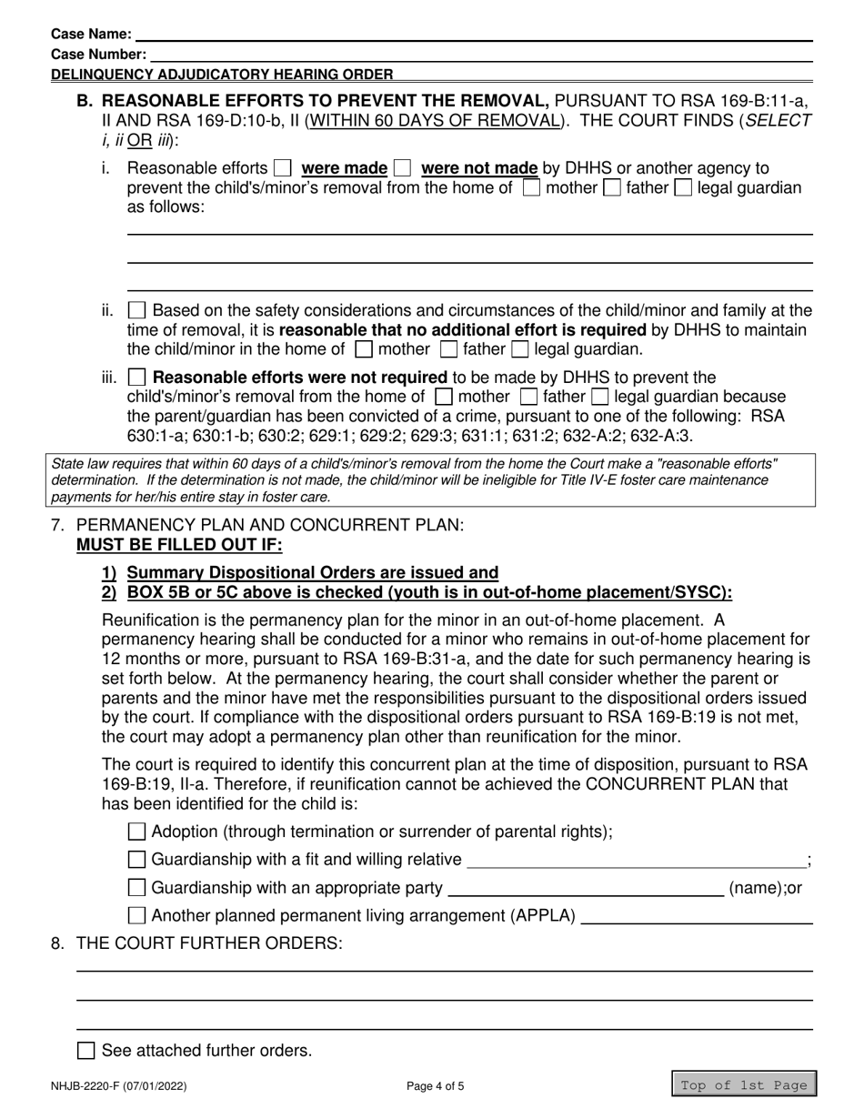
A: Form NHJB-2220-F is the Delinquency Adjudicatory Hearing Order in New Hampshire.

Q: What is a Delinquency Adjudicatory Hearing?
A: A Delinquency Adjudicatory Hearing is a legal proceeding to determine whether a juvenile is delinquent.

Q: Who can use Form NHJB-2220-F?
A: Form NHJB-2220-F can be used by the court or the parties involved in the delinquency case.

Q: What information is included in Form NHJB-2220-F?
A: Form NHJB-2220-F includes information about the parties, the delinquency allegations, and the scheduled hearing.

Q: Do I need a lawyer for a Delinquency Adjudicatory Hearing?
A: It is recommended to have legal representation for a Delinquency Adjudicatory Hearing, but it is not required.

Q: What happens at a Delinquency Adjudicatory Hearing?
A: At a Delinquency Adjudicatory Hearing, evidence is presented and the judge makes a decision about the delinquency allegations.

Q: Can the decision at a Delinquency Adjudicatory Hearing be appealed?
A: Yes, the decision at a Delinquency Adjudicatory Hearing can be appealed to a higher court.

Q: Are there any fees associated with using Form NHJB-2220-F?
A: The court may have filing fees associated with using Form NHJB-2220-F, but the amount may vary.

Q: What should I do if I receive Form NHJB-2220-F?
A: If you receive Form NHJB-2220-F, you should review it carefully and contact a lawyer if needed.

ADVERTISEMENT

Form Details:

  • Released on July 1, 2022;
  • The latest edition provided by the New Hampshire Judicial Branch;
  • Easy to use and ready to print;
  • Quick to customize;
  • Compatible with most PDF-viewing applications;
  • Fill out the form in our online filing application.

Download a fillable version of Form NHJB-2220-F by clicking the link below or browse more documents and templates provided by the New Hampshire Judicial Branch.

Download Form NHJB-2220-F Delinquency Adjudicatory Hearing Order - New Hampshire

4.3 of 5 (28 votes)
  • Form NHJB-2220-F Delinquency Adjudicatory Hearing Order - New Hampshire

    1

  • Form NHJB-2220-F Delinquency Adjudicatory Hearing Order - New Hampshire, Page 2

    2

  • Form NHJB-2220-F Delinquency Adjudicatory Hearing Order - New Hampshire, Page 3

    3

  • Form NHJB-2220-F Delinquency Adjudicatory Hearing Order - New Hampshire, Page 4

    4

  • Form NHJB-2220-F Delinquency Adjudicatory Hearing Order - New Hampshire, Page 5

    5

  • Form NHJB-2220-F Delinquency Adjudicatory Hearing Order - New Hampshire, Page 1
  • Form NHJB-2220-F Delinquency Adjudicatory Hearing Order - New Hampshire, Page 2
  • Form NHJB-2220-F Delinquency Adjudicatory Hearing Order - New Hampshire, Page 3
  • Form NHJB-2220-F Delinquency Adjudicatory Hearing Order - New Hampshire, Page 4
  • Form NHJB-2220-F Delinquency Adjudicatory Hearing Order - New Hampshire, Page 5
Prev 1 2 3 4 5 Next
ADVERTISEMENT

Related Documents