Form NHJB-2221-F Delinquency Dispositional Hearing Order - New Hampshire

Form NHJB-2221-F Delinquency Dispositional Hearing Order - New Hampshire

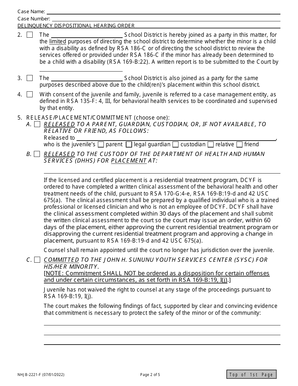
Form NHJB-2221-F is used in the state of New Hampshire, USA, for juvenile delinquency proceedings. A Delinquency Dispositional Hearing Order is a legal document that summarizes the proceedings and outcome of a dispositional hearing, which determines the order of treatment or punishment for a juvenile who has been deemed delinquent. This form records the judge's orders regarding the child's placement, treatment, supervision, and any necessary restitution or community service. It also includes the rights of the child and their parents or guardians, the process of the hearing, and the decisions made. This document is essential in the legal process concerning juvenile delinquency in New Hampshire.

The NHJB-2221-F Delinquency Dispositional Hearing Order is filed by the judge or the presiding authority in a juvenile delinquency case in the state of New Hampshire. This form is used at the conclusion of a dispositional hearing to record the court's decision and orders related to an adjudicated juvenile. It's vital to note this NHJB code refers to a New Hampshire Judicial Branch form. The form is not handled by individuals but is a part of the child protection, juvenile delinquency, and family court processes in the state of New Hampshire.

FAQ

Q: What is Form NHJB-2221-F?
A: Form NHJB-2221-F is used in the New Hampshire judicial system for a delinquency dispositional hearing order. It outlines the court's decision following a delinquency hearing.

Q: Who needs to use Form NHJB-2221-F?
A: Form NHJB-2221-F is used by the courts in New Hampshire. It is completed by the judge during or after a delinquency dispositional hearing. It's not typically filled out by individuals or families, but by judicial personnel.

Q: What information is required in Form NHJB-2221-F?
A: Form NHJB-2221-F is filled out by the court and may include details like the juvenile's name, date of birth, the offense committed, date of the hearing, the court's findings and the ordered disposition.

Q: What happens in a delinquency dispositional hearing?
A: A delinquency dispositional hearing is when the court decides what will happen to a juvenile who has been found delinquent. Common dispositions may include community service, probation, or being committed to a juvenile detention center.

ADVERTISEMENT

Download Form NHJB-2221-F Delinquency Dispositional Hearing Order - New Hampshire

4.5 of 5 (13 votes)
  • Form NHJB-2221-F Delinquency Dispositional Hearing Order - New Hampshire

    1

  • Form NHJB-2221-F Delinquency Dispositional Hearing Order - New Hampshire, Page 2

    2

  • Form NHJB-2221-F Delinquency Dispositional Hearing Order - New Hampshire, Page 3

    3

  • Form NHJB-2221-F Delinquency Dispositional Hearing Order - New Hampshire, Page 4

    4

  • Form NHJB-2221-F Delinquency Dispositional Hearing Order - New Hampshire, Page 5

    5

  • Form NHJB-2221-F Delinquency Dispositional Hearing Order - New Hampshire, Page 1
  • Form NHJB-2221-F Delinquency Dispositional Hearing Order - New Hampshire, Page 2
  • Form NHJB-2221-F Delinquency Dispositional Hearing Order - New Hampshire, Page 3
  • Form NHJB-2221-F Delinquency Dispositional Hearing Order - New Hampshire, Page 4
  • Form NHJB-2221-F Delinquency Dispositional Hearing Order - New Hampshire, Page 5
Prev 1 2 3 4 5 Next
ADVERTISEMENT

Related Documents