Form GAC5-U Petition for Appointment of General Conservator or Guardian - Minnesota

Notification Icon This version of the form is not currently in use and is provided for reference only. Download this version of Form GAC5-U for the current year.

Form GAC5-U Petition for Appointment of General Conservator or Guardian - Minnesota

What Is Form GAC5-U?

This is a legal form that was released by the Minnesota District Courts - a government authority operating within Minnesota. As of today, no separate filing guidelines for the form are provided by the issuing department.

FAQ

Q: What is the GAC5-U petition?
A: The GAC5-U petition is a legal form used in Minnesota to request the appointment of a general conservator or guardian.

Q: Who can file a GAC5-U petition?
A: Any interested person, such as a family member or close friend, can file a GAC5-U petition.

Q: What is a general conservator?
A: A general conservator is someone appointed by the court to make decisions about the personal and financial affairs of an adult who is unable to do so themselves.

Q: What is a guardian?
A: A guardian is someone appointed by the court to make decisions about the personal well-being and care of a minor or an adult who is unable to make those decisions themselves.

Q: What information is required in the GAC5-U petition form?
A: The GAC5-U petition form requires information about the person for whom the conservator or guardian is being requested, the reasons for the appointment, and details about the proposed conservator or guardian.

Q: Are there any filing fees for the GAC5-U petition?
A: Yes, there may be filing fees associated with filing the GAC5-U petition. The amount and payment options vary by county.

Q: What happens after I file the GAC5-U petition?
A: After filing the GAC5-U petition, a court hearing will be scheduled where the judge will review the petition and make a decision on whether to grant the appointment of a general conservator or guardian.

Q: Can I get legal assistance with filing the GAC5-U petition?
A: Yes, it is recommended to seek legal assistance or advice when filing the GAC5-U petition to ensure that all necessary information and requirements are met.

Q: How long does the process take to appoint a general conservator or guardian?
A: The timeline can vary, but generally, it takes several weeks to a few months for the court to process and make a decision on the GAC5-U petition.

ADVERTISEMENT

Form Details:

  • Released on September 1, 2022;
  • The latest edition provided by the Minnesota District Courts;
  • Easy to use and ready to print;
  • Quick to customize;
  • Compatible with most PDF-viewing applications;
  • Fill out the form in our online filing application.

Download a printable version of Form GAC5-U by clicking the link below or browse more documents and templates provided by the Minnesota District Courts.

Download Form GAC5-U Petition for Appointment of General Conservator or Guardian - Minnesota

4.3 of 5 (14 votes)
  • Form GAC5-U Petition for Appointment of General Conservator or Guardian - Minnesota

    1

  • Form GAC5-U Petition for Appointment of General Conservator or Guardian - Minnesota, Page 2

    2

  • Form GAC5-U Petition for Appointment of General Conservator or Guardian - Minnesota, Page 3

    3

  • Form GAC5-U Petition for Appointment of General Conservator or Guardian - Minnesota, Page 4

    4

  • Form GAC5-U Petition for Appointment of General Conservator or Guardian - Minnesota, Page 5

    5

  • Form GAC5-U Petition for Appointment of General Conservator or Guardian - Minnesota, Page 6

    6

  • Form GAC5-U Petition for Appointment of General Conservator or Guardian - Minnesota, Page 7

    7

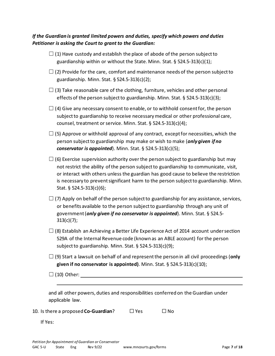
  • Form GAC5-U Petition for Appointment of General Conservator or Guardian - Minnesota, Page 8

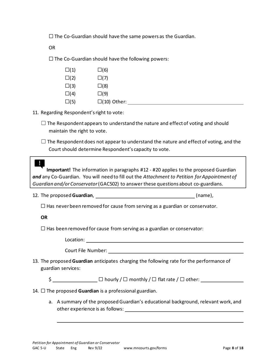
    8

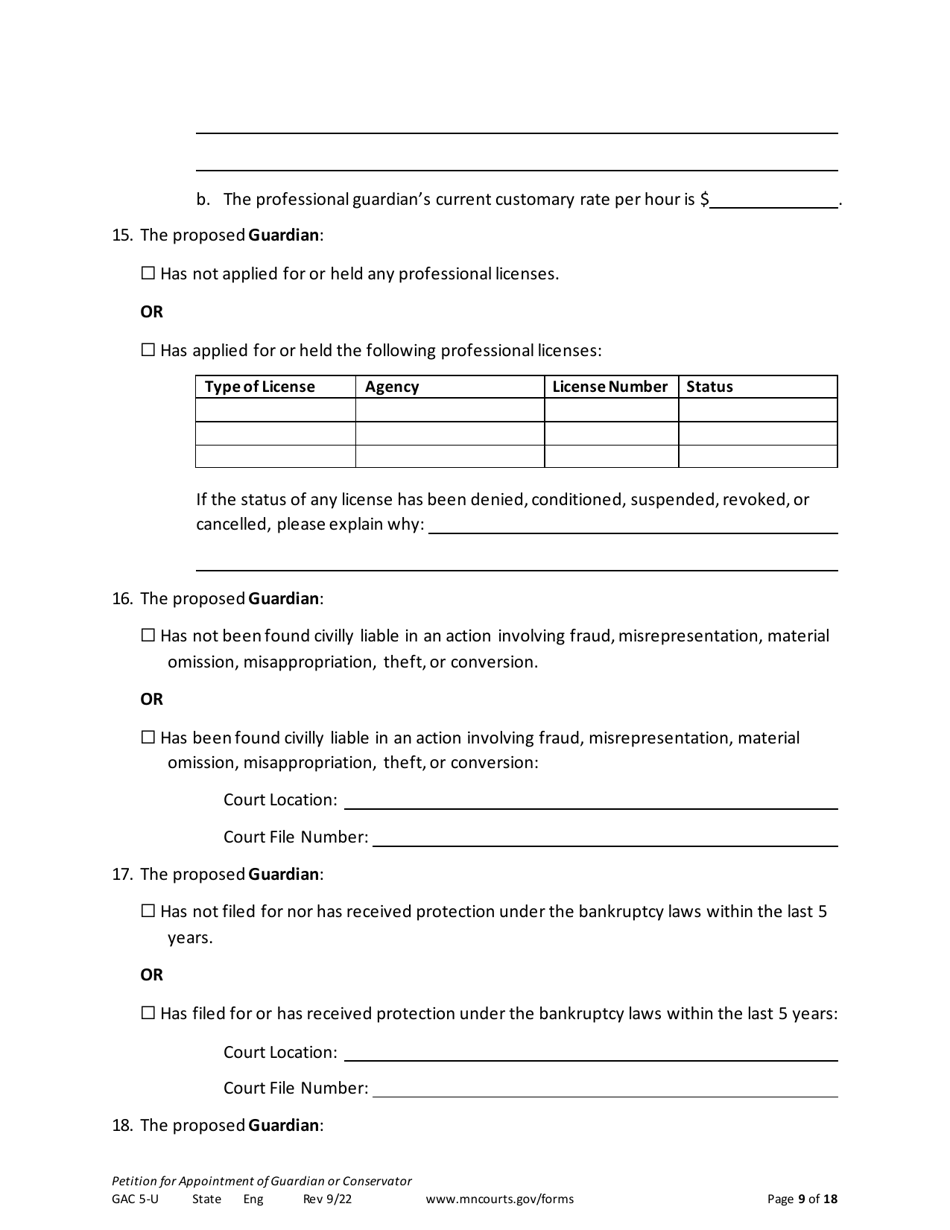
  • Form GAC5-U Petition for Appointment of General Conservator or Guardian - Minnesota, Page 9

    9

  • Form GAC5-U Petition for Appointment of General Conservator or Guardian - Minnesota, Page 10

    10

  • Form GAC5-U Petition for Appointment of General Conservator or Guardian - Minnesota, Page 11

    11

  • Form GAC5-U Petition for Appointment of General Conservator or Guardian - Minnesota, Page 12

    12

  • Form GAC5-U Petition for Appointment of General Conservator or Guardian - Minnesota, Page 13

    13

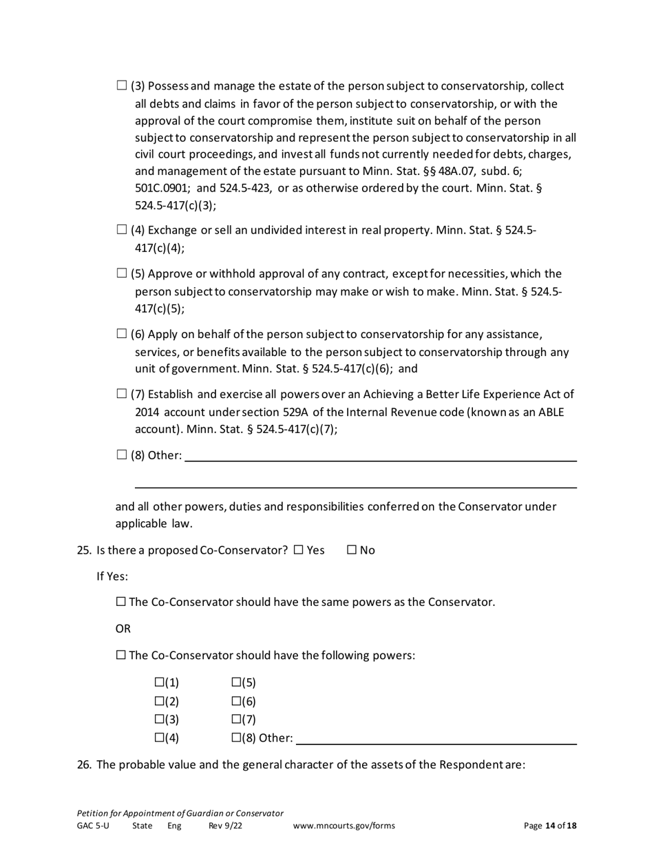
  • Form GAC5-U Petition for Appointment of General Conservator or Guardian - Minnesota, Page 14

    14

  • Form GAC5-U Petition for Appointment of General Conservator or Guardian - Minnesota, Page 15

    15

  • Form GAC5-U Petition for Appointment of General Conservator or Guardian - Minnesota, Page 16

    16

  • Form GAC5-U Petition for Appointment of General Conservator or Guardian - Minnesota, Page 17

    17

  • Form GAC5-U Petition for Appointment of General Conservator or Guardian - Minnesota, Page 18

    18

  • Form GAC5-U Petition for Appointment of General Conservator or Guardian - Minnesota, Page 1
  • Form GAC5-U Petition for Appointment of General Conservator or Guardian - Minnesota, Page 2
  • Form GAC5-U Petition for Appointment of General Conservator or Guardian - Minnesota, Page 3
  • Form GAC5-U Petition for Appointment of General Conservator or Guardian - Minnesota, Page 4
  • Form GAC5-U Petition for Appointment of General Conservator or Guardian - Minnesota, Page 5
  • Form GAC5-U Petition for Appointment of General Conservator or Guardian - Minnesota, Page 6
  • Form GAC5-U Petition for Appointment of General Conservator or Guardian - Minnesota, Page 7
  • Form GAC5-U Petition for Appointment of General Conservator or Guardian - Minnesota, Page 8
  • Form GAC5-U Petition for Appointment of General Conservator or Guardian - Minnesota, Page 9
  • Form GAC5-U Petition for Appointment of General Conservator or Guardian - Minnesota, Page 10
  • Form GAC5-U Petition for Appointment of General Conservator or Guardian - Minnesota, Page 11
  • Form GAC5-U Petition for Appointment of General Conservator or Guardian - Minnesota, Page 12
  • Form GAC5-U Petition for Appointment of General Conservator or Guardian - Minnesota, Page 13
  • Form GAC5-U Petition for Appointment of General Conservator or Guardian - Minnesota, Page 14
  • Form GAC5-U Petition for Appointment of General Conservator or Guardian - Minnesota, Page 15
  • Form GAC5-U Petition for Appointment of General Conservator or Guardian - Minnesota, Page 16
  • Form GAC5-U Petition for Appointment of General Conservator or Guardian - Minnesota, Page 17
  • Form GAC5-U Petition for Appointment of General Conservator or Guardian - Minnesota, Page 18
Prev 1 2 3 4 5 ... 18 Next
ADVERTISEMENT

Related Documents