Form A-113 Response / Intervention - Application Under Section 105 or Section 141 (Determination of Whether Settlement Has Been Breached) - Ontario, Canada

Form A-113 Response / Intervention - Application Under Section 105 or Section 141 (Determination of Whether Settlement Has Been Breached) - Ontario, Canada

Form A-113 Response/Intervention is an application used in Ontario, Canada in regards to the determination of whether a settlement has been breached. This form is typically used when someone believes that a settlement agreement, reached either under Section 105 or Section 141 of the law, has been violated. It allows individuals or parties involved to apply for intervention or respond to such allegations.

FAQ

Q: What is Form A-113?
A: Form A-113 is a response/intervention form used in Ontario, Canada.

Q: What is the purpose of Form A-113?
A: The purpose of Form A-113 is to apply for a determination of whether a settlement has been breached.

Q: Under what sections of the law is Form A-113 used?
A: Form A-113 is used under Section 105 or Section 141 in Ontario, Canada.

Q: Who can use Form A-113?
A: Any individual or party involved in a settlement dispute in Ontario, Canada can use Form A-113.

Q: What is the process for submitting Form A-113?
A: To submit Form A-113, you need to complete the form and file it with the appropriate court in Ontario, Canada.

Q: What happens after submitting Form A-113?
A: After submitting Form A-113, the court will review the application and make a determination on whether a settlement has been breached.

Q: Is there a fee for filing Form A-113?
A: Yes, there is a fee associated with filing Form A-113. The exact fee will depend on the court in Ontario, Canada.

Q: Are there any other requirements when filing Form A-113?
A: Yes, you may be required to provide supporting documents or evidence related to the settlement dispute when filing Form A-113.

Q: Can legal representation be obtained for Form A-113?
A: Yes, you may choose to seek legal representation when filing Form A-113 in Ontario, Canada.

ADVERTISEMENT

Download Form A-113 Response / Intervention - Application Under Section 105 or Section 141 (Determination of Whether Settlement Has Been Breached) - Ontario, Canada

4.3 of 5 (16 votes)
  • Form A-113 Response/Intervention - Application Under Section 105 or Section 141 (Determination of Whether Settlement Has Been Breached) - Ontario, Canada

    1

  • Form A-113 Response/Intervention - Application Under Section 105 or Section 141 (Determination of Whether Settlement Has Been Breached) - Ontario, Canada, Page 2

    2

  • Form A-113 Response/Intervention - Application Under Section 105 or Section 141 (Determination of Whether Settlement Has Been Breached) - Ontario, Canada, Page 3

    3

  • Form A-113 Response/Intervention - Application Under Section 105 or Section 141 (Determination of Whether Settlement Has Been Breached) - Ontario, Canada, Page 4

    4

  • Form A-113 Response/Intervention - Application Under Section 105 or Section 141 (Determination of Whether Settlement Has Been Breached) - Ontario, Canada, Page 5

    5

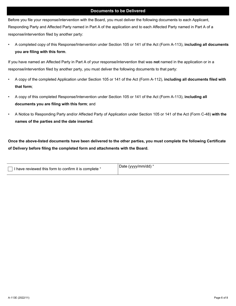
  • Form A-113 Response/Intervention - Application Under Section 105 or Section 141 (Determination of Whether Settlement Has Been Breached) - Ontario, Canada, Page 6

    6

  • Form A-113 Response/Intervention - Application Under Section 105 or Section 141 (Determination of Whether Settlement Has Been Breached) - Ontario, Canada, Page 7

    7

  • Form A-113 Response/Intervention - Application Under Section 105 or Section 141 (Determination of Whether Settlement Has Been Breached) - Ontario, Canada, Page 8

    8

  • Form A-113 Response / Intervention - Application Under Section 105 or Section 141 (Determination of Whether Settlement Has Been Breached) - Ontario, Canada, Page 1
  • Form A-113 Response / Intervention - Application Under Section 105 or Section 141 (Determination of Whether Settlement Has Been Breached) - Ontario, Canada, Page 2
  • Form A-113 Response / Intervention - Application Under Section 105 or Section 141 (Determination of Whether Settlement Has Been Breached) - Ontario, Canada, Page 3
  • Form A-113 Response / Intervention - Application Under Section 105 or Section 141 (Determination of Whether Settlement Has Been Breached) - Ontario, Canada, Page 4
  • Form A-113 Response / Intervention - Application Under Section 105 or Section 141 (Determination of Whether Settlement Has Been Breached) - Ontario, Canada, Page 5
  • Form A-113 Response / Intervention - Application Under Section 105 or Section 141 (Determination of Whether Settlement Has Been Breached) - Ontario, Canada, Page 6
  • Form A-113 Response / Intervention - Application Under Section 105 or Section 141 (Determination of Whether Settlement Has Been Breached) - Ontario, Canada, Page 7
  • Form A-113 Response / Intervention - Application Under Section 105 or Section 141 (Determination of Whether Settlement Has Been Breached) - Ontario, Canada, Page 8
Prev 1 2 3 4 5 ... 8 Next
ADVERTISEMENT

Related Documents