DOE Form 540.3 Quarterly Program Report - Weatherization Assistance Program

DOE Form 540.3 Quarterly Program Report - Weatherization Assistance Program

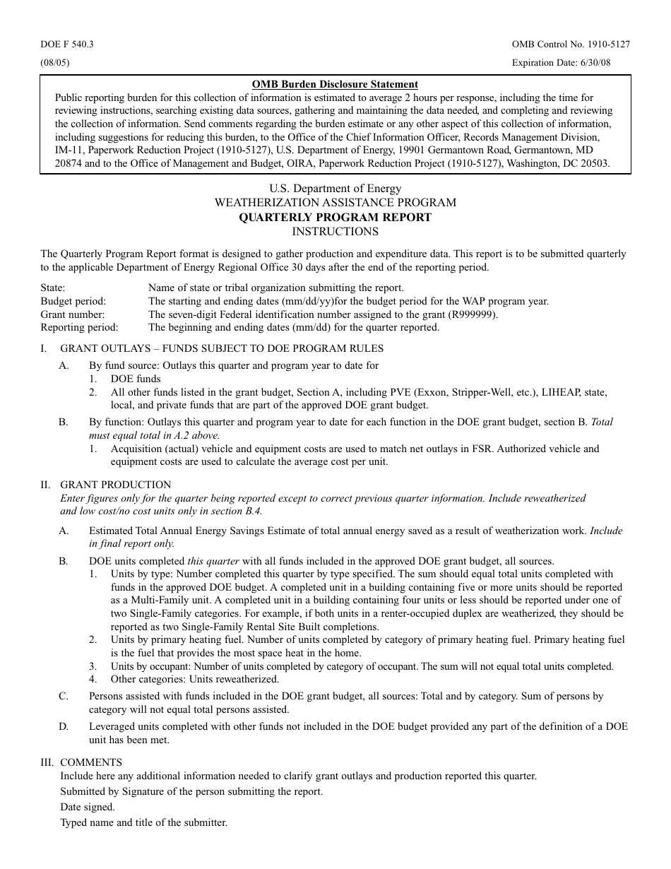
The DOE Form 540.3 Quarterly Program Report - Weatherization Assistance Program is a document used by the U.S. Department of Energy. It provides a periodic update on the progress and status of the Weatherization Assistance Program (WAP). This program aims to increase the energy efficiency of designated households of low-income families, thereby reducing their energy costs. The report includes relevant information like the number of homes weatherized, the funds expended, the employment levels supported by the WAP, and other related data. The form helps the department to track the performance, evaluate the success of the program, and make necessary adjustments.

The DOE Form 540.3 Quarterly Program Report for the Weatherization Assistance Program is typically filed by state and local agencies or organizations that have received funding from the Department of Energy's Weatherization Assistance Program. These entities are responsible for using the funds towards the enhancement of energy efficiency for low-income households. They are required to submit this report on a quarterly basis to document the progress and results of the work done under the program.

FAQ

Q: What is the DOE Form 540.3?
A: The DOE Form 540.3 is a Quarterly Program Report for the Weatherization Assistance Program. This form is administered by the Department of Energy (DOE) in the USA. It is used to track and report on the progress of programs and projects funded by the DOE's Weatherization Assistance Program (WAP).

Q: What is the purpose of the DOE Form 540.3?
A: The DOE Form 540.3 is used to provide ongoing updates to the DOE regarding various aspects of the Weatherization Assistance Program. It allows the departments to monitor the implementation and outcomes of the WAP, such as the number of weatherized homes, achieved energy savings, and funds spent.

Q: Who is required to fill out the DOE Form 540.3?
A: The DOE Form 540.3 must be filled out by all grant recipients under the Weatherization Assistance Program. This includes state-level organizations, local agencies, and non-profit entities who have received funding from the WAP to conduct weatherization activities.

Q: How often do you need to submit DOE Form 540.3?
A: The DOE Form 540.3 is called a Quarterly Program Report because it must be submitted on a quarterly basis. This means it is filled out and submitted four times a year to provide regular updates on program activities and progress.

Q: What is the Weatherization Assistance Program?
A: The Weatherization Assistance Program or WAP is a program administered by the US Department of Energy. Its main aim is to help low-income households reduce their energy costs by improving home energy efficiency. It provides funding for services like insulation, weatherstripping, and furnace repair or replacement.

ADVERTISEMENT

Download DOE Form 540.3 Quarterly Program Report - Weatherization Assistance Program

4.4 of 5 (9 votes)
  • DOE Form 540.3 Quarterly Program Report - Weatherization Assistance Program

    1

  • DOE Form 540.3 Quarterly Program Report - Weatherization Assistance Program, Page 2

    2

  • DOE Form 540.3 Quarterly Program Report - Weatherization Assistance Program, Page 3

    3

  • DOE Form 540.3 Quarterly Program Report - Weatherization Assistance Program, Page 4

    4

  • DOE Form 540.3 Quarterly Program Report - Weatherization Assistance Program, Page 1
  • DOE Form 540.3 Quarterly Program Report - Weatherization Assistance Program, Page 2
  • DOE Form 540.3 Quarterly Program Report - Weatherization Assistance Program, Page 3
  • DOE Form 540.3 Quarterly Program Report - Weatherization Assistance Program, Page 4
Prev 1 2 3 4 Next
ADVERTISEMENT

Related Documents