Form FA-4160VA Findings of Fact, Conclusions of Law, and Judgment With Minor Children - Wisconsin

Notification Icon This version of the form is not currently in use and is provided for reference only. Download this version of Form FA-4160VA for the current year.

Form FA-4160VA Findings of Fact, Conclusions of Law, and Judgment With Minor Children - Wisconsin

What Is Form FA-4160VA?

This is a legal form that was released by the Wisconsin Circuit Court - a government authority operating within Wisconsin. As of today, no separate filing guidelines for the form are provided by the issuing department.

FAQ

Q: What is Form FA-4160VA?
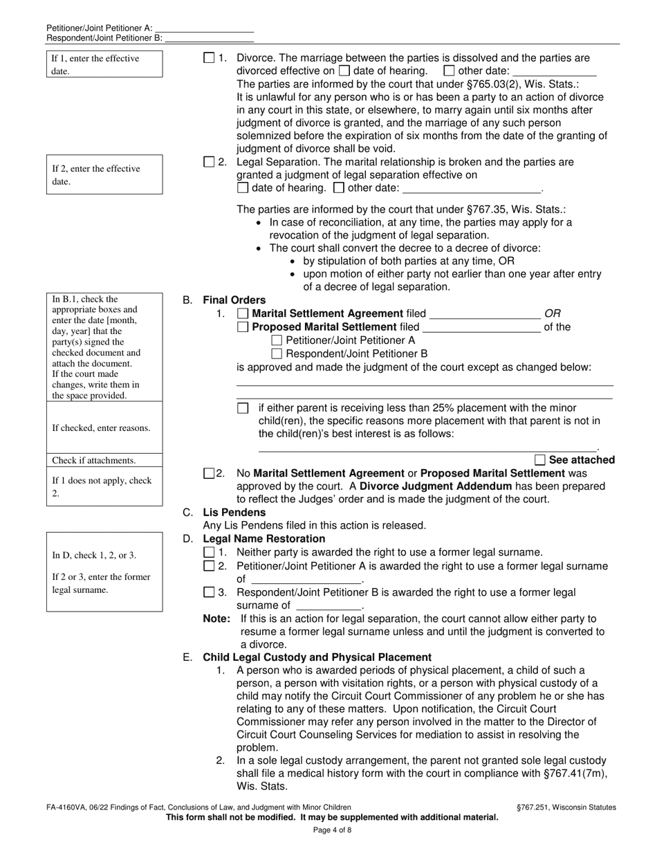
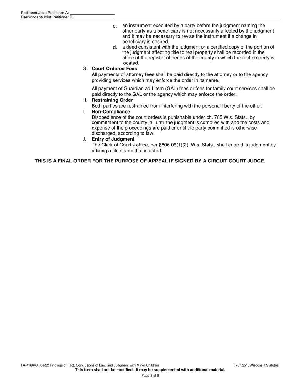
A: Form FA-4160VA is a legal document used in Wisconsin to present the court's findings of fact, conclusions of law, and judgment regarding a divorce or legal separation case involving minor children.

Q: What is the purpose of Form FA-4160VA?
A: The purpose of Form FA-4160VA is to outline the court's decisions and rulings on various issues related to child custody, visitation, support, and other matters in a divorce or legal separation involving minor children.

Q: Who prepares Form FA-4160VA?
A: Typically, the judge or court clerk prepares Form FA-4160VA based on the evidence and arguments presented during the divorce or legal separation proceedings.

Q: What is included in Form FA-4160VA?
A: Form FA-4160VA includes the court's findings of fact, which are the factual determinations made by the judge based on the evidence presented. It also includes the conclusions of law, which are the judge's application of legal principles to the facts of the case, and the final judgment regarding the issues related to minor children.

Q: Can I modify the contents of Form FA-4160VA?
A: No, you cannot modify the contents of Form FA-4160VA. It is a legal document prepared by the court, and any modifications or changes would require approval from the judge.

ADVERTISEMENT

Form Details:

  • Released on June 1, 2022;
  • The latest edition provided by the Wisconsin Circuit Court;
  • Easy to use and ready to print;
  • Available in Spanish;
  • Quick to customize;
  • Compatible with most PDF-viewing applications;
  • Fill out the form in our online filing application.

Download a printable version of Form FA-4160VA by clicking the link below or browse more documents and templates provided by the Wisconsin Circuit Court.

Download Form FA-4160VA Findings of Fact, Conclusions of Law, and Judgment With Minor Children - Wisconsin

4.8 of 5 (13 votes)
  • Form FA-4160VA Findings of Fact, Conclusions of Law, and Judgment With Minor Children - Wisconsin

    1

  • Form FA-4160VA Findings of Fact, Conclusions of Law, and Judgment With Minor Children - Wisconsin, Page 2

    2

  • Form FA-4160VA Findings of Fact, Conclusions of Law, and Judgment With Minor Children - Wisconsin, Page 3

    3

  • Form FA-4160VA Findings of Fact, Conclusions of Law, and Judgment With Minor Children - Wisconsin, Page 4

    4

  • Form FA-4160VA Findings of Fact, Conclusions of Law, and Judgment With Minor Children - Wisconsin, Page 5

    5

  • Form FA-4160VA Findings of Fact, Conclusions of Law, and Judgment With Minor Children - Wisconsin, Page 6

    6

  • Form FA-4160VA Findings of Fact, Conclusions of Law, and Judgment With Minor Children - Wisconsin, Page 7

    7

  • Form FA-4160VA Findings of Fact, Conclusions of Law, and Judgment With Minor Children - Wisconsin, Page 8

    8

  • Form FA-4160VA Findings of Fact, Conclusions of Law, and Judgment With Minor Children - Wisconsin, Page 1
  • Form FA-4160VA Findings of Fact, Conclusions of Law, and Judgment With Minor Children - Wisconsin, Page 2
  • Form FA-4160VA Findings of Fact, Conclusions of Law, and Judgment With Minor Children - Wisconsin, Page 3
  • Form FA-4160VA Findings of Fact, Conclusions of Law, and Judgment With Minor Children - Wisconsin, Page 4
  • Form FA-4160VA Findings of Fact, Conclusions of Law, and Judgment With Minor Children - Wisconsin, Page 5
  • Form FA-4160VA Findings of Fact, Conclusions of Law, and Judgment With Minor Children - Wisconsin, Page 6
  • Form FA-4160VA Findings of Fact, Conclusions of Law, and Judgment With Minor Children - Wisconsin, Page 7
  • Form FA-4160VA Findings of Fact, Conclusions of Law, and Judgment With Minor Children - Wisconsin, Page 8
Prev 1 2 3 4 5 ... 8 Next
ADVERTISEMENT