Form BOE-236-A Supplemental Affidavit for Boe-236, Housing - Lower-Income Households Eligibility Based on Family Household Income (Yearly Filing) - County of Riverside, California

Form BOE-236-A Supplemental Affidavit for Boe-236, Housing - Lower-Income Households Eligibility Based on Family Household Income (Yearly Filing) - County of Riverside, California

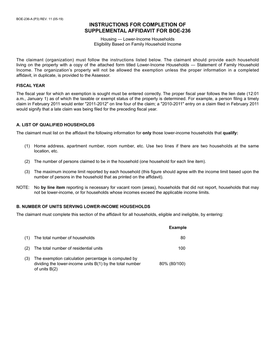
What Is Form BOE-236-A?

This is a legal form that was released by the Assessor-County Clerk-Recorder - County of Riverside, California - a government authority operating within California. The form may be used strictly within County of Riverside. As of today, no separate filing guidelines for the form are provided by the issuing department.

FAQ

Q: What is BOE-236-A?
A: BOE-236-A is a supplemental affidavit form for BOE-236, which is used to determine eligibility for housing assistance based on family household income.

Q: What is the purpose of BOE-236-A?
A: The purpose of BOE-236-A is to provide additional information and documentation related to the family household income for the eligibility determination process.

Q: Who is required to file BOE-236-A?
A: Applicants for housing assistance in the County of Riverside, California are required to file BOE-236-A if requested by the housing authority.

Q: What information is required in BOE-236-A?
A: BOE-236-A requires the applicant to provide detailed information about their household income, including sources of income and verification documentation.

Q: What happens after filing BOE-236-A?
A: After filing BOE-236-A, the housing authority will review the information provided and make a determination on the applicant's eligibility for housing assistance.

Q: Is there a deadline for filing BOE-236-A?
A: The deadline for filing BOE-236-A will be specified by the housing authority.

Q: Can I appeal the eligibility determination based on BOE-236-A?
A: Yes, if you disagree with the eligibility determination based on BOE-236-A, you may have the right to appeal the decision.

Q: Do I need to submit any supporting documents with BOE-236-A?
A: Yes, you will need to submit verification documents related to your household income along with BOE-236-A.

ADVERTISEMENT

Form Details:

  • Released on May 1, 2019;
  • The latest edition provided by the Assessor-County Clerk-Recorder - County of Riverside, California;
  • Easy to use and ready to print;
  • Quick to customize;
  • Compatible with most PDF-viewing applications;
  • Fill out the form in our online filing application.

Download a fillable version of Form BOE-236-A by clicking the link below or browse more documents and templates provided by the Assessor-County Clerk-Recorder - County of Riverside, California.

Download Form BOE-236-A Supplemental Affidavit for Boe-236, Housing - Lower-Income Households Eligibility Based on Family Household Income (Yearly Filing) - County of Riverside, California

4.5 of 5 (29 votes)
  • Form BOE-236-A Supplemental Affidavit for Boe-236, Housing - Lower-Income Households Eligibility Based on Family Household Income (Yearly Filing) - County of Riverside, California

    1

  • Form BOE-236-A Supplemental Affidavit for Boe-236, Housing - Lower-Income Households Eligibility Based on Family Household Income (Yearly Filing) - County of Riverside, California, Page 2

    2

  • Form BOE-236-A Supplemental Affidavit for Boe-236, Housing - Lower-Income Households Eligibility Based on Family Household Income (Yearly Filing) - County of Riverside, California, Page 3

    3

  • Form BOE-236-A Supplemental Affidavit for Boe-236, Housing - Lower-Income Households Eligibility Based on Family Household Income (Yearly Filing) - County of Riverside, California, Page 4

    4

  • Form BOE-236-A Supplemental Affidavit for Boe-236, Housing - Lower-Income Households Eligibility Based on Family Household Income (Yearly Filing) - County of Riverside, California, Page 5

    5

  • Form BOE-236-A Supplemental Affidavit for Boe-236, Housing - Lower-Income Households Eligibility Based on Family Household Income (Yearly Filing) - County of Riverside, California, Page 1
  • Form BOE-236-A Supplemental Affidavit for Boe-236, Housing - Lower-Income Households Eligibility Based on Family Household Income (Yearly Filing) - County of Riverside, California, Page 2
  • Form BOE-236-A Supplemental Affidavit for Boe-236, Housing - Lower-Income Households Eligibility Based on Family Household Income (Yearly Filing) - County of Riverside, California, Page 3
  • Form BOE-236-A Supplemental Affidavit for Boe-236, Housing - Lower-Income Households Eligibility Based on Family Household Income (Yearly Filing) - County of Riverside, California, Page 4
  • Form BOE-236-A Supplemental Affidavit for Boe-236, Housing - Lower-Income Households Eligibility Based on Family Household Income (Yearly Filing) - County of Riverside, California, Page 5
Prev 1 2 3 4 5 Next
ADVERTISEMENT

Related Documents