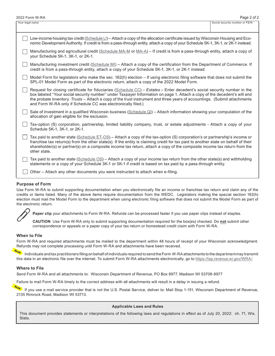
Form W-RA (I-041) Required Attachments for Electronic Filing - Wisconsin

Notification Icon This version of the form is not currently in use and is provided for reference only. Download this version of Form W-RA (I-041) for the current year.

Form W-RA (I-041) Required Attachments for Electronic Filing - Wisconsin

What Is Form W-RA (I-041)?

This is a legal form that was released by the Wisconsin Department of Revenue - a government authority operating within Wisconsin. As of today, no separate filing guidelines for the form are provided by the issuing department.

FAQ

Q: What is Form W-RA (I-041)?
A: Form W-RA (I-041) is a tax form used for electronic filing in Wisconsin.

Q: What are the required attachments for electronic filing?
A: The required attachments for electronic filing with Form W-RA (I-041) vary depending on your specific tax situation. It is best to consult the instructions accompanying the form for detailed information.

Q: Can I file Form W-RA (I-041) electronically?
A: Yes, Form W-RA (I-041) can be filed electronically in Wisconsin.

Q: Is Form W-RA (I-041) specific to Wisconsin residents?
A: Yes, Form W-RA (I-041) is specific to residents of Wisconsin who need to file their taxes electronically.

ADVERTISEMENT

Form Details:

  • Released on July 1, 2022;
  • The latest edition provided by the Wisconsin Department of Revenue;
  • Easy to use and ready to print;
  • Quick to customize;
  • Compatible with most PDF-viewing applications;
  • Fill out the form in our online filing application.

Download a fillable version of Form W-RA (I-041) by clicking the link below or browse more documents and templates provided by the Wisconsin Department of Revenue.

Download Form W-RA (I-041) Required Attachments for Electronic Filing - Wisconsin

4.7 of 5 (9 votes)
  • Form W-RA (I-041) Required Attachments for Electronic Filing - Wisconsin

    1

  • Form W-RA (I-041) Required Attachments for Electronic Filing - Wisconsin, Page 2

    2

  • Form W-RA (I-041) Required Attachments for Electronic Filing - Wisconsin, Page 1
  • Form W-RA (I-041) Required Attachments for Electronic Filing - Wisconsin, Page 2
Prev 1 2 Next
ADVERTISEMENT