Form Corp321 Foreign Registration Statement Limited Partnership - Wisconsin

Form Corp321 Foreign Registration Statement Limited Partnership - Wisconsin

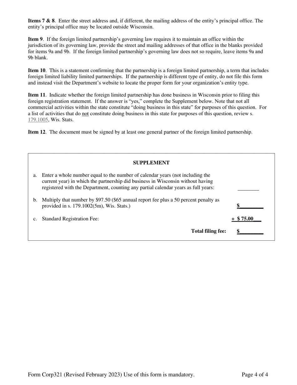
What Is Form Corp321?

This is a legal form that was released by the Wisconsin Department of Financial Institutions - a government authority operating within Wisconsin. As of today, no separate filing guidelines for the form are provided by the issuing department.

FAQ

Q: What is Form Corp321?
A: Form Corp321 is a Foreign Registration Statement for Limited Partnership.

Q: What is a Foreign Registration Statement?
A: A Foreign Registration Statement is a document that allows a limited partnership registered in another state to transact business in Wisconsin.

Q: Who needs to file Form Corp321?
A: Limited partnerships registered in another state that want to do business in Wisconsin need to file Form Corp321.

Q: What is the purpose of filing Form Corp321?
A: The purpose of filing Form Corp321 is to notify the state of Wisconsin that a limited partnership wants to conduct business in the state.

Q: Are there any additional requirements for filing Form Corp321?
A: Yes, there are additional requirements for filing Form Corp321. These requirements may include providing a Certificate of Good Standing from the limited partnership's home state and appointing a registered agent in Wisconsin.

Q: What happens after I file Form Corp321?
A: After you file Form Corp321, the Wisconsin Department of Financial Institutions will review the form and if everything is in order, your limited partnership will be authorized to do business in the state.

Q: Is there a deadline for filing Form Corp321?
A: There is no specific deadline for filing Form Corp321. However, limited partnerships should file the form before they begin conducting business in Wisconsin.

ADVERTISEMENT

Form Details:

  • Released on February 1, 2023;
  • The latest edition provided by the Wisconsin Department of Financial Institutions;
  • Easy to use and ready to print;
  • Quick to customize;
  • Compatible with most PDF-viewing applications;
  • Fill out the form in our online filing application.

Download a fillable version of Form Corp321 by clicking the link below or browse more documents and templates provided by the Wisconsin Department of Financial Institutions.

Download Form Corp321 Foreign Registration Statement Limited Partnership - Wisconsin

4.6 of 5 (7 votes)
  • Form Corp321 Foreign Registration Statement Limited Partnership - Wisconsin

    1

  • Form Corp321 Foreign Registration Statement Limited Partnership - Wisconsin, Page 2

    2

  • Form Corp321 Foreign Registration Statement Limited Partnership - Wisconsin, Page 3

    3

  • Form Corp321 Foreign Registration Statement Limited Partnership - Wisconsin, Page 4

    4

  • Form Corp321 Foreign Registration Statement Limited Partnership - Wisconsin, Page 1
  • Form Corp321 Foreign Registration Statement Limited Partnership - Wisconsin, Page 2
  • Form Corp321 Foreign Registration Statement Limited Partnership - Wisconsin, Page 3
  • Form Corp321 Foreign Registration Statement Limited Partnership - Wisconsin, Page 4
Prev 1 2 3 4 Next
ADVERTISEMENT

Related Documents