Application for Planned Sign Program - City of Flint, Michigan

Application for Planned Sign Program - City of Flint, Michigan

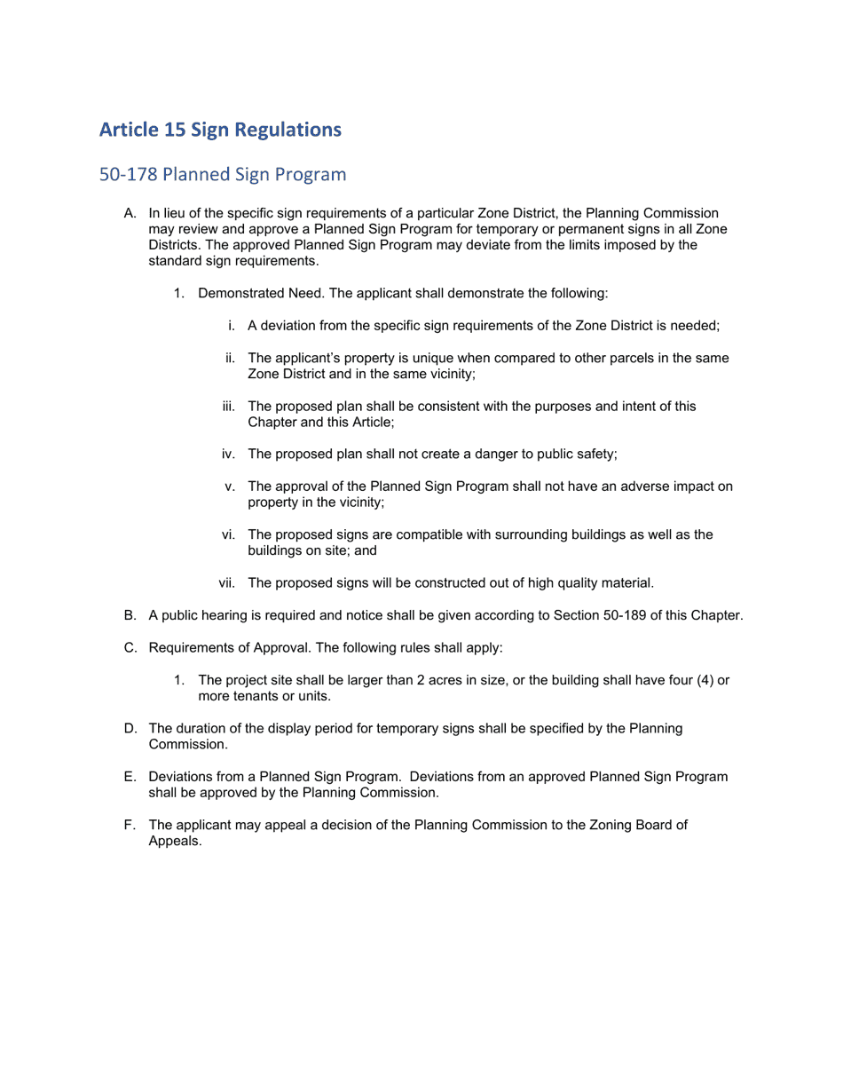
Application for Planned Sign Program is a legal document that was released by the Department of Planning and Development - City of Flint, Michigan - a government authority operating within Michigan. The form may be used strictly within City of Flint.

FAQ

Q: What is an application for a planned sign program?
A: An application for a planned sign program is a request submitted to the City of Flint, Michigan, for approval of a signage plan for a specific area or property.

Q: What does a planned sign program include?
A: A planned sign program includes details such as the location, size, design, and installation method of signs that will be erected in a specific area.

Q: Why is approval required for a planned sign program?
A: Approval is required to ensure that the signage plan meets the city's regulations, aesthetics, and zoning requirements.

Q: Who should submit an application for a planned sign program?
A: Property owners, developers, or businesses planning to install signs in a specific area of the City of Flint, Michigan, should submit an application for a planned sign program.

Q: What are the steps involved in the approval process?
A: The steps may include submitting the application with all required documents, paying the application fee, review and evaluation by the planning or zoning department, and a decision from the city officials.

Q: What happens if my planned sign program application is approved?
A: If your planned sign program application is approved, you can proceed with the installation of the signs according to the approved plan.

Q: What should I do if my application is denied?
A: If your application is denied, you may have the option to revise and resubmit the application, or you could appeal the decision according to the city's processes and regulations.

Q: Are there any restrictions on signage in Flint, Michigan?
A: Yes, Flint, Michigan has specific regulations and restrictions regarding the size, design, location, and other aspects of signage. These restrictions are in place to maintain the aesthetic appeal and functionality of the city.

ADVERTISEMENT

Form Details:

  • The latest edition currently provided by the Department of Planning and Development - City of Flint, Michigan;
  • Ready to use and print;
  • Easy to customize;
  • Compatible with most PDF-viewing applications;
  • Fill out the form in our online filing application.

Download a fillable version of the form by clicking the link below or browse more documents and templates provided by the Department of Planning and Development - City of Flint, Michigan.

Download Application for Planned Sign Program - City of Flint, Michigan

4.7 of 5 (40 votes)
  • Application for Planned Sign Program - City of Flint, Michigan

    1

  • Application for Planned Sign Program - City of Flint, Michigan, Page 2

    2

  • Application for Planned Sign Program - City of Flint, Michigan, Page 3

    3

  • Application for Planned Sign Program - City of Flint, Michigan, Page 4

    4

  • Application for Planned Sign Program - City of Flint, Michigan, Page 5

    5

  • Application for Planned Sign Program - City of Flint, Michigan, Page 6

    6

  • Application for Planned Sign Program - City of Flint, Michigan, Page 7

    7

  • Application for Planned Sign Program - City of Flint, Michigan, Page 1
  • Application for Planned Sign Program - City of Flint, Michigan, Page 2
  • Application for Planned Sign Program - City of Flint, Michigan, Page 3
  • Application for Planned Sign Program - City of Flint, Michigan, Page 4
  • Application for Planned Sign Program - City of Flint, Michigan, Page 5
  • Application for Planned Sign Program - City of Flint, Michigan, Page 6
  • Application for Planned Sign Program - City of Flint, Michigan, Page 7
Prev 1 2 3 4 5 ... 7 Next
ADVERTISEMENT

Related Documents