District School Transportation Monitoring Self-evaluation - Florida

District School Transportation Monitoring Self-evaluation - Florida

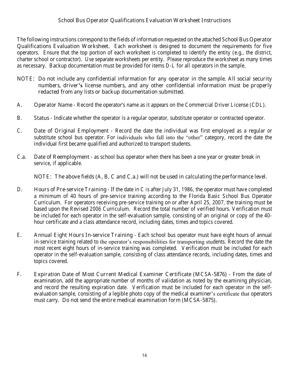
The District School Transportation Monitoring Self-evaluation in Florida is a program designed to monitor and assess the safety and efficiency of school transportation in the state. The purpose of this self-evaluation is to ensure that all school districts in Florida are maintaining high standards of safety for students during their commute to and from school. It involves tracking and inspecting the performance of buses, drivers, routes, bus stop locations, and emergency evacuation procedures, among other factors. This evaluation helps in detecting any potential issues or areas of concern that need to be addressed, thus improving the overall institutional transportation system. It's vital for promoting student safety and enhancing the effectiveness of school transport operations.

The District School Transportation Monitoring Self-evaluation in Florida is filed by the school district's transportation department. This document is a part of the district's regular protocol to ensure safety, efficiency, and compliance with state and local regulations regarding student transportation.

FAQ

Q: What is the District School Transportation Monitoring Self-evaluation in Florida?
A: The District School Transportation Monitoring Self-evaluation in Florida is a system through which school districts can assess their own student transportation operations. It involves checking compliance with public safety rules, transportation protocols, and efficiency of hauling students.

Q: Who conducts the District School Transportation Monitoring Self-evaluation in Florida?
A: The District School Transportation Monitoring Self-evaluation in Florida is conducted by officials from each school district's transportation department.

Q: Why is the District School Transportation Monitoring Self-evaluation in Florida necessary?
A: The self-evaluation is crucial for ensuring safety rules compliance, maintaining transportation standards, providing efficient service to transport students, and ensuring that any areas for improvement are identified and addressed promptly.

Q: How is the District School Transportation Monitoring Self-evaluation in Florida done?
A: This is done through a systematic assessment of different aspects of school transportation in the district, including driver qualifications, vehicle condition, route planning, following state transportation policies, etc.

Q: When is the District School Transportation Monitoring Self-evaluation in Florida usually conducted?
A: The timing can vary between districts. It can be part of a regular schedule (for example, annual or biannual) or triggered by specific events (for example, a major incident involving a school bus).

Q: What happens after the District School Transportation Monitoring Self-evaluation in Florida?
A: After the self-evaluation, the district's transportation department will usually draft recommendations or an action plan to address any identified issues. This plan will then be implemented to improve the district's school transportation system.

ADVERTISEMENT

Download District School Transportation Monitoring Self-evaluation - Florida

4.5 of 5 (16 votes)
  • District School Transportation Monitoring Self-evaluation - Florida

    1

  • District School Transportation Monitoring Self-evaluation - Florida, Page 2

    2

  • District School Transportation Monitoring Self-evaluation - Florida, Page 3

    3

  • District School Transportation Monitoring Self-evaluation - Florida, Page 4

    4

  • District School Transportation Monitoring Self-evaluation - Florida, Page 5

    5

  • District School Transportation Monitoring Self-evaluation - Florida, Page 6

    6

  • District School Transportation Monitoring Self-evaluation - Florida, Page 7

    7

  • District School Transportation Monitoring Self-evaluation - Florida, Page 8

    8

  • District School Transportation Monitoring Self-evaluation - Florida, Page 9

    9

  • District School Transportation Monitoring Self-evaluation - Florida, Page 10

    10

  • District School Transportation Monitoring Self-evaluation - Florida, Page 11

    11

  • District School Transportation Monitoring Self-evaluation - Florida, Page 12

    12

  • District School Transportation Monitoring Self-evaluation - Florida, Page 13

    13

  • District School Transportation Monitoring Self-evaluation - Florida, Page 14

    14

  • District School Transportation Monitoring Self-evaluation - Florida, Page 15

    15

  • District School Transportation Monitoring Self-evaluation - Florida, Page 16

    16

  • District School Transportation Monitoring Self-evaluation - Florida, Page 17

    17

  • District School Transportation Monitoring Self-evaluation - Florida, Page 18

    18

  • District School Transportation Monitoring Self-evaluation - Florida, Page 19

    19

  • District School Transportation Monitoring Self-evaluation - Florida, Page 20

    20

  • District School Transportation Monitoring Self-evaluation - Florida, Page 21

    21

  • District School Transportation Monitoring Self-evaluation - Florida, Page 22

    22

  • District School Transportation Monitoring Self-evaluation - Florida, Page 23

    23

  • District School Transportation Monitoring Self-evaluation - Florida, Page 24

    24

  • District School Transportation Monitoring Self-evaluation - Florida, Page 25

    25

  • District School Transportation Monitoring Self-evaluation - Florida, Page 26

    26

  • District School Transportation Monitoring Self-evaluation - Florida, Page 27

    27

  • District School Transportation Monitoring Self-evaluation - Florida, Page 28

    28

  • District School Transportation Monitoring Self-evaluation - Florida, Page 29

    29

  • District School Transportation Monitoring Self-evaluation - Florida, Page 30

    30

  • District School Transportation Monitoring Self-evaluation - Florida, Page 31

    31

  • District School Transportation Monitoring Self-evaluation - Florida, Page 32

    32

  • District School Transportation Monitoring Self-evaluation - Florida, Page 33

    33

  • District School Transportation Monitoring Self-evaluation - Florida, Page 34

    34

  • District School Transportation Monitoring Self-evaluation - Florida, Page 35

    35

  • District School Transportation Monitoring Self-evaluation - Florida, Page 36

    36

  • District School Transportation Monitoring Self-evaluation - Florida, Page 37

    37

  • District School Transportation Monitoring Self-evaluation - Florida, Page 1
  • District School Transportation Monitoring Self-evaluation - Florida, Page 2
  • District School Transportation Monitoring Self-evaluation - Florida, Page 3
  • District School Transportation Monitoring Self-evaluation - Florida, Page 4
  • District School Transportation Monitoring Self-evaluation - Florida, Page 5
  • District School Transportation Monitoring Self-evaluation - Florida, Page 6
  • District School Transportation Monitoring Self-evaluation - Florida, Page 7
  • District School Transportation Monitoring Self-evaluation - Florida, Page 8
  • District School Transportation Monitoring Self-evaluation - Florida, Page 9
  • District School Transportation Monitoring Self-evaluation - Florida, Page 10
  • District School Transportation Monitoring Self-evaluation - Florida, Page 11
  • District School Transportation Monitoring Self-evaluation - Florida, Page 12
  • District School Transportation Monitoring Self-evaluation - Florida, Page 13
  • District School Transportation Monitoring Self-evaluation - Florida, Page 14
  • District School Transportation Monitoring Self-evaluation - Florida, Page 15
  • District School Transportation Monitoring Self-evaluation - Florida, Page 16
  • District School Transportation Monitoring Self-evaluation - Florida, Page 17
  • District School Transportation Monitoring Self-evaluation - Florida, Page 18
  • District School Transportation Monitoring Self-evaluation - Florida, Page 19
  • District School Transportation Monitoring Self-evaluation - Florida, Page 20
  • District School Transportation Monitoring Self-evaluation - Florida, Page 21
  • District School Transportation Monitoring Self-evaluation - Florida, Page 22
  • District School Transportation Monitoring Self-evaluation - Florida, Page 23
  • District School Transportation Monitoring Self-evaluation - Florida, Page 24
  • District School Transportation Monitoring Self-evaluation - Florida, Page 25
  • District School Transportation Monitoring Self-evaluation - Florida, Page 26
  • District School Transportation Monitoring Self-evaluation - Florida, Page 27
  • District School Transportation Monitoring Self-evaluation - Florida, Page 28
  • District School Transportation Monitoring Self-evaluation - Florida, Page 29
  • District School Transportation Monitoring Self-evaluation - Florida, Page 30
  • District School Transportation Monitoring Self-evaluation - Florida, Page 31
  • District School Transportation Monitoring Self-evaluation - Florida, Page 32
  • District School Transportation Monitoring Self-evaluation - Florida, Page 33
  • District School Transportation Monitoring Self-evaluation - Florida, Page 34
  • District School Transportation Monitoring Self-evaluation - Florida, Page 35
  • District School Transportation Monitoring Self-evaluation - Florida, Page 36
  • District School Transportation Monitoring Self-evaluation - Florida, Page 37
Prev 1 2 3 4 5 ... 37 Next
ADVERTISEMENT