WCC Form C35 Dependent's Claim for Death Benefits - Maryland

WCC Form C35 Dependent's Claim for Death Benefits - Maryland

What Is WCC Form C35?

This is a legal form that was released by the Maryland Workers' Compensation Commission - a government authority operating within Maryland. As of today, no separate filing guidelines for the form are provided by the issuing department.

FAQ

Q: What is the WCC Form C35?
A: The WCC Form C35 is the Dependent's Claim for Death Benefits form in Maryland.

Q: Who can file the WCC Form C35?
A: The dependent of a deceased employee who died due to a work-related injury or illness can file the WCC Form C35.

Q: What are death benefits?
A: Death benefits are financial compensation provided to the dependents of an employee who died due to a work-related injury or illness.

Q: How do I file the WCC Form C35?
A: You can file the WCC Form C35 by completing the form and submitting it to the Workers' Compensation Commission in Maryland.

Q: What information is required in the WCC Form C35?
A: The WCC Form C35 requires information about the deceased employee, the dependent(s), and the circumstances of the death.

Q: Is there a deadline for filing the WCC Form C35?
A: Yes, there is a deadline for filing the WCC Form C35. It must be filed within 18 months from the date of death.

Q: What happens after I file the WCC Form C35?
A: After you file the WCC Form C35, the Workers' Compensation Commission will review your claim and make a determination on the eligibility for death benefits.

Q: What if my WCC Form C35 is denied?
A: If your WCC Form C35 is denied, you have the right to appeal the decision within 30 days of the denial.

ADVERTISEMENT

Form Details:

  • Released on February 1, 2022;
  • The latest edition provided by the Maryland Workers' Compensation Commission;
  • Easy to use and ready to print;
  • Quick to customize;
  • Compatible with most PDF-viewing applications;
  • Fill out the form in our online filing application.

Download a fillable version of WCC Form C35 by clicking the link below or browse more documents and templates provided by the Maryland Workers' Compensation Commission.

Download WCC Form C35 Dependent's Claim for Death Benefits - Maryland

4.4 of 5 (18 votes)
  • WCC Form C35 Dependent's Claim for Death Benefits - Maryland

    1

  • WCC Form C35 Dependent's Claim for Death Benefits - Maryland, Page 2

    2

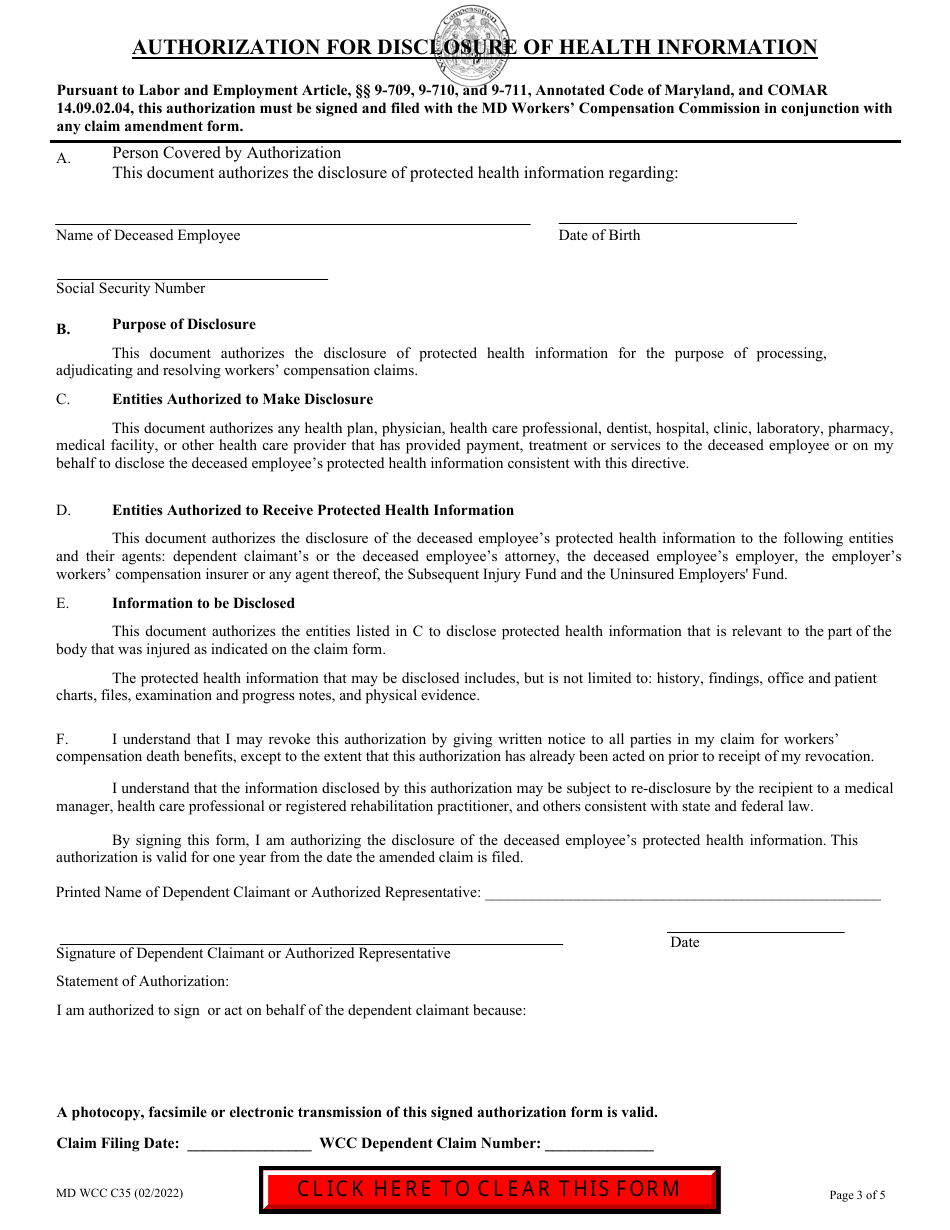
  • WCC Form C35 Dependent's Claim for Death Benefits - Maryland, Page 3

    3

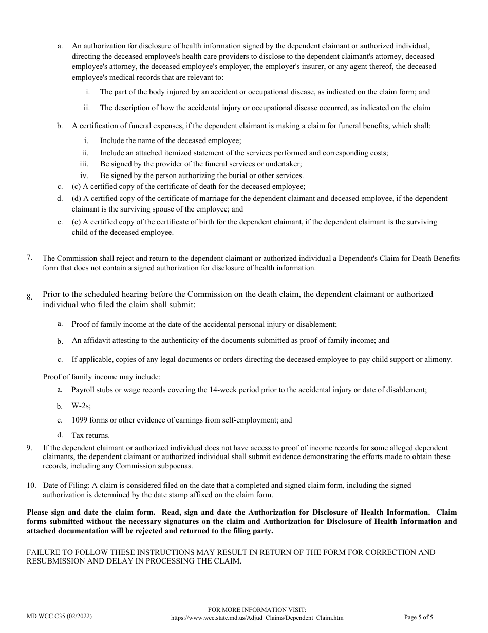
  • WCC Form C35 Dependent's Claim for Death Benefits - Maryland, Page 4

    4

  • WCC Form C35 Dependent's Claim for Death Benefits - Maryland, Page 5

    5

  • WCC Form C35 Dependents Claim for Death Benefits - Maryland, Page 1
  • WCC Form C35 Dependents Claim for Death Benefits - Maryland, Page 2
  • WCC Form C35 Dependents Claim for Death Benefits - Maryland, Page 3
  • WCC Form C35 Dependents Claim for Death Benefits - Maryland, Page 4
  • WCC Form C35 Dependents Claim for Death Benefits - Maryland, Page 5
Prev 1 2 3 4 5 Next
ADVERTISEMENT

Related Documents