Form JC-1611 Dispositional Order - Protection or Services (Chapter 48) - Wisconsin

Notification Icon This version of the form is not currently in use and is provided for reference only. Download this version of Form JC-1611 for the current year.

Form JC-1611 Dispositional Order - Protection or Services (Chapter 48) - Wisconsin

What Is Form JC-1611?

This is a legal form that was released by the Wisconsin Circuit Court - a government authority operating within Wisconsin. As of today, no separate filing guidelines for the form are provided by the issuing department.

FAQ

Q: What is Form JC-1611?
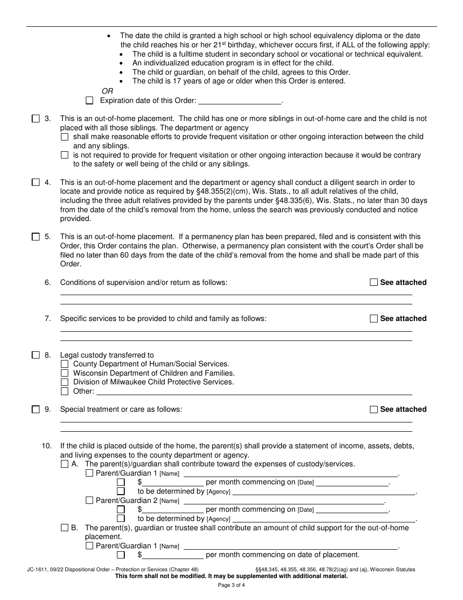
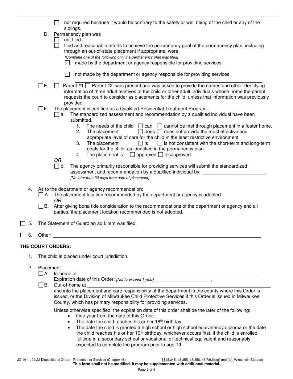
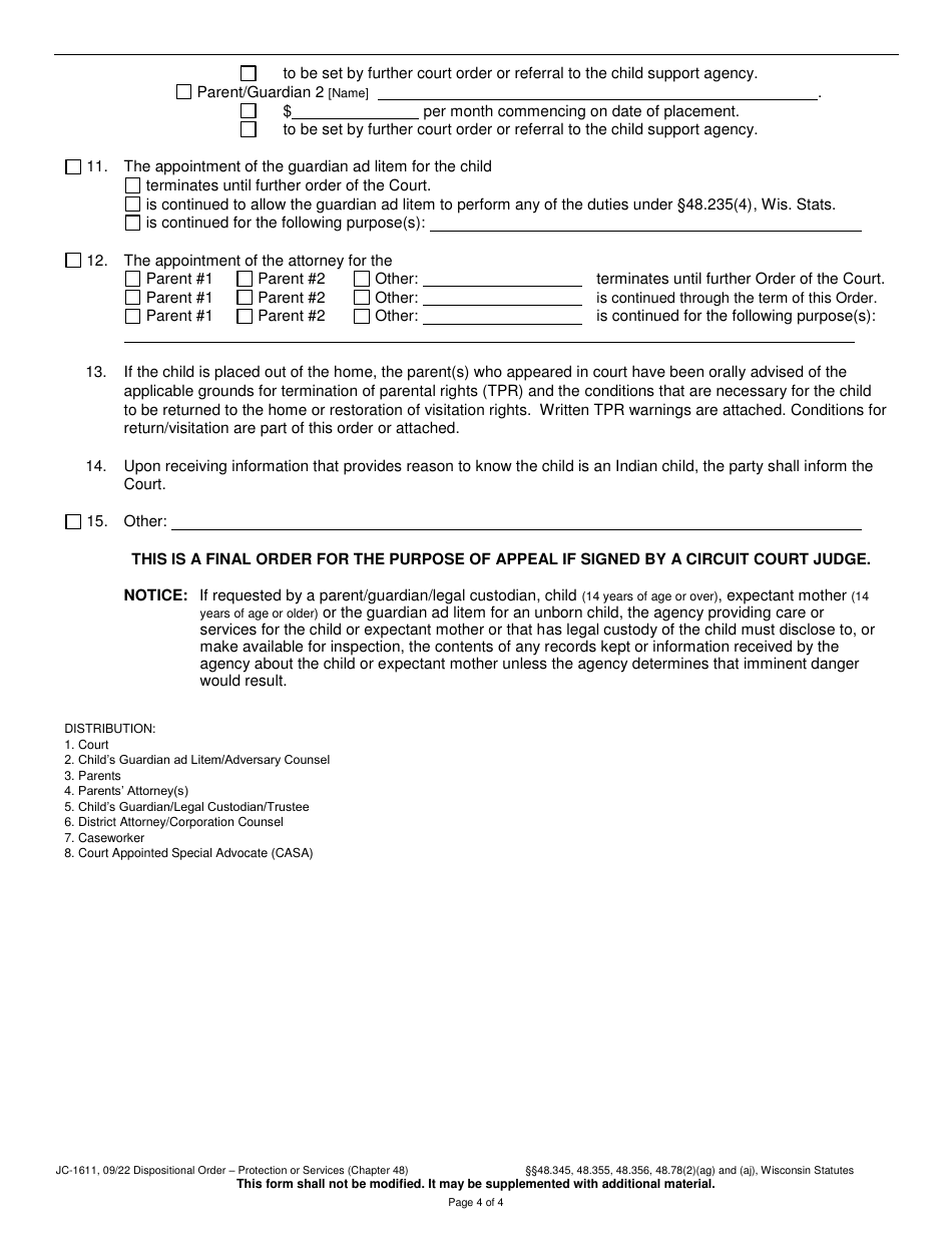
A: Form JC-1611 is a Dispositional Order - Protection or Services form used in Chapter 48 cases in Wisconsin.

Q: What is Chapter 48 in Wisconsin?
A: Chapter 48 is the section of the Wisconsin statutes that deals with children's protective services.

Q: What is a Dispositional Order?
A: A Dispositional Order is a court order that determines the actions or services to be provided to a child involved in a Chapter 48 case.

Q: What is the purpose of Form JC-1611?
A: Form JC-1611 is used to outline the protective or supportive services that will be provided to the child in accordance with the Dispositional Order.

Q: Who uses Form JC-1611?
A: Form JC-1611 is typically completed by the court or the social services agency and is used to communicate the specific services to be provided to the child, parents, or guardians.

Q: Can I modify the Dispositional Order?
A: Modifications to the Dispositional Order can be made, but they require a formal request to the court and must be approved by a judge.

Q: What should I do if I have questions about Form JC-1611?
A: If you have questions about Form JC-1611 or Chapter 48 cases, it is recommended to seek legal advice from an attorney or contact the court handling the case for guidance.

ADVERTISEMENT

Form Details:

  • Released on September 1, 2022;
  • The latest edition provided by the Wisconsin Circuit Court;
  • Easy to use and ready to print;
  • Available in Spanish;
  • Quick to customize;
  • Compatible with most PDF-viewing applications;
  • Fill out the form in our online filing application.

Download a printable version of Form JC-1611 by clicking the link below or browse more documents and templates provided by the Wisconsin Circuit Court.

Download Form JC-1611 Dispositional Order - Protection or Services (Chapter 48) - Wisconsin

4.8 of 5 (17 votes)
  • Form JC-1611 Dispositional Order - Protection or Services (Chapter 48) - Wisconsin

    1

  • Form JC-1611 Dispositional Order - Protection or Services (Chapter 48) - Wisconsin, Page 2

    2

  • Form JC-1611 Dispositional Order - Protection or Services (Chapter 48) - Wisconsin, Page 3

    3

  • Form JC-1611 Dispositional Order - Protection or Services (Chapter 48) - Wisconsin, Page 4

    4

  • Form JC-1611 Dispositional Order - Protection or Services (Chapter 48) - Wisconsin, Page 1
  • Form JC-1611 Dispositional Order - Protection or Services (Chapter 48) - Wisconsin, Page 2
  • Form JC-1611 Dispositional Order - Protection or Services (Chapter 48) - Wisconsin, Page 3
  • Form JC-1611 Dispositional Order - Protection or Services (Chapter 48) - Wisconsin, Page 4
Prev 1 2 3 4 Next
ADVERTISEMENT

Related Documents