Form SRG1416 Notification and Record of Revalidation of an Atco Unit Endorsement (UK Regulation (Eu) 2015 / 340) - United Kingdom

Notification Icon This version of the form is not currently in use and is provided for reference only. Download this version of Form SRG1416 for the current year.

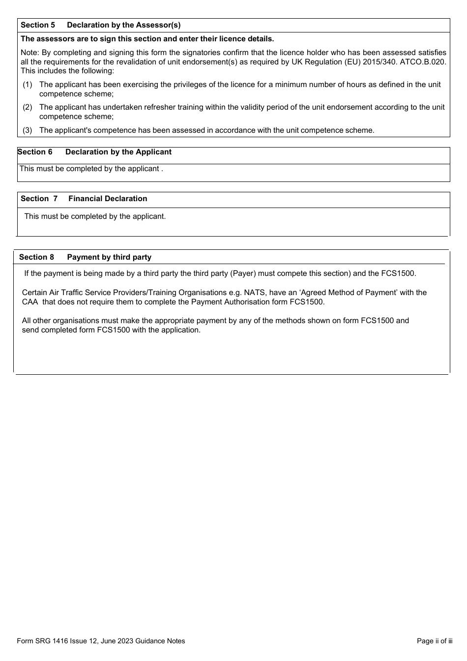
Form SRG1416 Notification and Record of Revalidation of an Atco Unit Endorsement (UK Regulation (Eu) 2015 / 340) - United Kingdom

FAQ

Q: What is Form SRG1416?
A: Form SRG1416 is the Notification and Record of Revalidation of an ATCO Unit Endorsement (UK Regulation (EU) 2015/340) in the United Kingdom.

Q: What is ATCO?
A: ATCO stands for Air Traffic Control Officer. It refers to a professional responsible for directing and guiding aircraft in the sky and on the ground.

Q: What is the purpose of Form SRG1416?
A: The purpose of Form SRG1416 is to serve as a notification and record of revalidation of an ATCO Unit Endorsement under UK Regulation (EU) 2015/340.

Q: What is UK Regulation (EU) 2015/340?
A: UK Regulation (EU) 2015/340 is a regulation that pertains to the certification and licensing of air traffic controllers in the United Kingdom.

Q: Who needs to fill out Form SRG1416?
A: Form SRG1416 needs to be filled out by air traffic controllers in the United Kingdom who are revalidating their ATCO Unit Endorsement.

Q: How can I obtain Form SRG1416?
A: You can obtain Form SRG1416 by contacting the appropriate regulatory authority or organization responsible for air traffic control in the United Kingdom.

Q: Are there any fees associated with Form SRG1416?
A: There may be fees associated with Form SRG1416. You should check with the relevant regulatory authority or organization for more information.

Q: What information is required on Form SRG1416?
A: Form SRG1416 requires information such as the ATCO's personal details, endorsement details, and details of the revalidation.

Q: Is Form SRG1416 specific to the United Kingdom?
A: Yes, Form SRG1416 is specific to the United Kingdom and is used for revalidating ATCO Unit Endorsements under UK Regulation (EU) 2015/340.

Q: What happens after submitting Form SRG1416?
A: After submitting Form SRG1416, the regulatory authority or organization will process the application and notify the ATCO of the revalidation outcome.

ADVERTISEMENT

Download Form SRG1416 Notification and Record of Revalidation of an Atco Unit Endorsement (UK Regulation (Eu) 2015 / 340) - United Kingdom

4.3 of 5 (50 votes)
  • Form SRG1416 Notification and Record of Revalidation of an Atco Unit Endorsement (UK Regulation (Eu) 2015/340) - United Kingdom

    1

  • Form SRG1416 Notification and Record of Revalidation of an Atco Unit Endorsement (UK Regulation (Eu) 2015/340) - United Kingdom, Page 2

    2

  • Form SRG1416 Notification and Record of Revalidation of an Atco Unit Endorsement (UK Regulation (Eu) 2015/340) - United Kingdom, Page 3

    3

  • Form SRG1416 Notification and Record of Revalidation of an Atco Unit Endorsement (UK Regulation (Eu) 2015/340) - United Kingdom, Page 4

    4

  • Form SRG1416 Notification and Record of Revalidation of an Atco Unit Endorsement (UK Regulation (Eu) 2015/340) - United Kingdom, Page 5

    5

  • Form SRG1416 Notification and Record of Revalidation of an Atco Unit Endorsement (UK Regulation (Eu) 2015/340) - United Kingdom, Page 6

    6

  • Form SRG1416 Notification and Record of Revalidation of an Atco Unit Endorsement (UK Regulation (Eu) 2015 / 340) - United Kingdom, Page 1
  • Form SRG1416 Notification and Record of Revalidation of an Atco Unit Endorsement (UK Regulation (Eu) 2015 / 340) - United Kingdom, Page 2
  • Form SRG1416 Notification and Record of Revalidation of an Atco Unit Endorsement (UK Regulation (Eu) 2015 / 340) - United Kingdom, Page 3
  • Form SRG1416 Notification and Record of Revalidation of an Atco Unit Endorsement (UK Regulation (Eu) 2015 / 340) - United Kingdom, Page 4
  • Form SRG1416 Notification and Record of Revalidation of an Atco Unit Endorsement (UK Regulation (Eu) 2015 / 340) - United Kingdom, Page 5
  • Form SRG1416 Notification and Record of Revalidation of an Atco Unit Endorsement (UK Regulation (Eu) 2015 / 340) - United Kingdom, Page 6
Prev 1 2 3 4 5 6 Next
ADVERTISEMENT