Form RW13-14 Certificate of Common Use Department of Water Resources Certificate of Common Use (State-Owned Land) - California

Form RW13-14 Certificate of Common Use Department of Water Resources Certificate of Common Use (State-Owned Land) - California

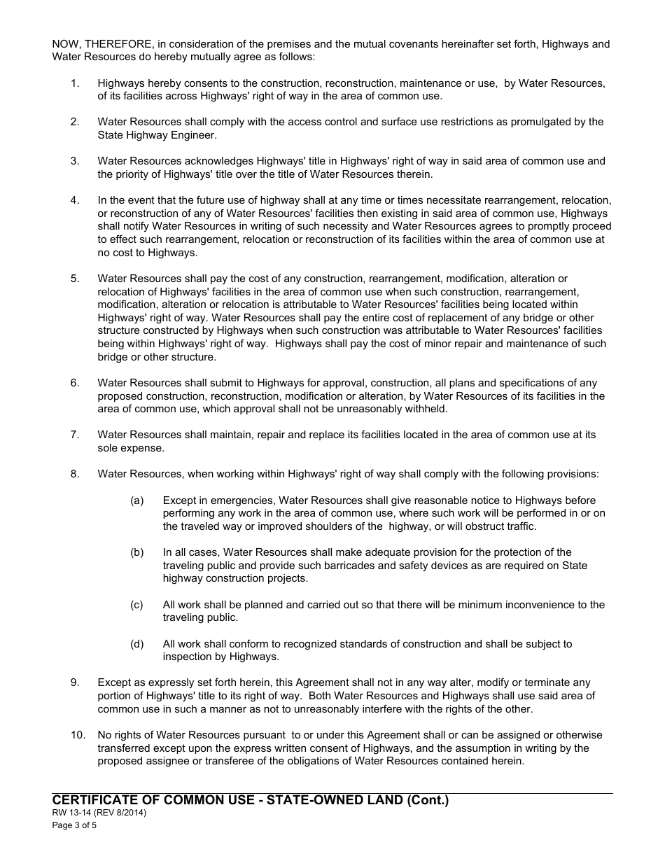
What Is Form RW13-14?

This is a legal form that was released by the California Department of Transportation - a government authority operating within California. As of today, no separate filing guidelines for the form are provided by the issuing department.

FAQ

Q: What is RW13-14 Certificate of Common Use?
A: RW13-14 Certificate of Common Use is a document issued by the Department of Water Resources for the common use of state-owned land in California.

Q: Who issues the RW13-14 Certificate of Common Use?
A: The RW13-14 Certificate of Common Use is issued by the Department of Water Resources.

Q: What is the purpose of the RW13-14 Certificate of Common Use?
A: The purpose of the RW13-14 Certificate of Common Use is to allow for the common use of state-owned land in California.

Q: What does the RW13-14 Certificate of Common Use cover?
A: The RW13-14 Certificate of Common Use covers the use of state-owned land in California.

Q: Who can apply for the RW13-14 Certificate of Common Use?
A: Any individual or organization can apply for the RW13-14 Certificate of Common Use.

ADVERTISEMENT

Form Details:

  • Released on August 1, 2014;
  • The latest edition provided by the California Department of Transportation;
  • Easy to use and ready to print;
  • Quick to customize;
  • Compatible with most PDF-viewing applications;
  • Fill out the form in our online filing application.

Download a fillable version of Form RW13-14 by clicking the link below or browse more documents and templates provided by the California Department of Transportation.

Download Form RW13-14 Certificate of Common Use Department of Water Resources Certificate of Common Use (State-Owned Land) - California

4.7 of 5 (40 votes)
  • Form RW13-14 Certificate of Common Use Department of Water Resources Certificate of Common Use (State-Owned Land) - California

    1

  • Form RW13-14 Certificate of Common Use Department of Water Resources Certificate of Common Use (State-Owned Land) - California, Page 2

    2

  • Form RW13-14 Certificate of Common Use Department of Water Resources Certificate of Common Use (State-Owned Land) - California, Page 3

    3

  • Form RW13-14 Certificate of Common Use Department of Water Resources Certificate of Common Use (State-Owned Land) - California, Page 4

    4

  • Form RW13-14 Certificate of Common Use Department of Water Resources Certificate of Common Use (State-Owned Land) - California, Page 5

    5

  • Form RW13-14 Certificate of Common Use Department of Water Resources Certificate of Common Use (State-Owned Land) - California, Page 1
  • Form RW13-14 Certificate of Common Use Department of Water Resources Certificate of Common Use (State-Owned Land) - California, Page 2
  • Form RW13-14 Certificate of Common Use Department of Water Resources Certificate of Common Use (State-Owned Land) - California, Page 3
  • Form RW13-14 Certificate of Common Use Department of Water Resources Certificate of Common Use (State-Owned Land) - California, Page 4
  • Form RW13-14 Certificate of Common Use Department of Water Resources Certificate of Common Use (State-Owned Land) - California, Page 5
Prev 1 2 3 4 5 Next
ADVERTISEMENT

Related Documents