Superintendent Determination of Graduation With a Local Diploma - New York

Superintendent Determination of Graduation With a Local Diploma - New York

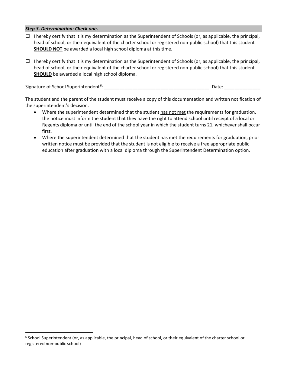
Superintendent Determination of Graduation With a Local Diploma is a legal document that was released by the New York State Education Department - a government authority operating within New York.

FAQ

Q: What is the Superintendent Determination of Graduation With a Local Diploma?
A: The Superintendent Determination is a process in New York that allows certain students with disabilities to graduate with a local diploma instead of an Individualized Education Program (IEP) diploma.

Q: Who is eligible for the Superintendent Determination?
A: Eligibility for the Superintendent Determination is determined by the Committee on Special Education (CSE) or the Committee on Preschool Special Education (CPSE) for students with disabilities.

Q: What are the criteria for the Superintendent Determination?
A: The criteria for the Superintendent Determination include meeting specific graduation requirements, demonstrating the ability to complete the requirements of the State assessments, and meeting the attendance requirements.

Q: How can a student apply for the Superintendent Determination?
A: The student's CSE or CPSE will make a recommendation for the Superintendent Determination, and the school district will submit the request to the State Education Department.

Q: Can a student still receive support services after graduating with a local diploma through the Superintendent Determination?
A: Yes, students who graduate with a local diploma through the Superintendent Determination may still be eligible for support services, such as vocational rehabilitation or college disability services.

ADVERTISEMENT

Form Details:

  • Released on June 1, 2023;
  • The latest edition currently provided by the New York State Education Department;
  • Ready to use and print;
  • Easy to customize;
  • Compatible with most PDF-viewing applications;
  • Fill out the form in our online filing application.

Download a fillable version of the form by clicking the link below or browse more documents and templates provided by the New York State Education Department.

Download Superintendent Determination of Graduation With a Local Diploma - New York

4.8 of 5 (17 votes)
  • Superintendent Determination of Graduation With a Local Diploma - New York

    1

  • Superintendent Determination of Graduation With a Local Diploma - New York, Page 2

    2

  • Superintendent Determination of Graduation With a Local Diploma - New York, Page 3

    3

  • Superintendent Determination of Graduation With a Local Diploma - New York, Page 1
  • Superintendent Determination of Graduation With a Local Diploma - New York, Page 2
  • Superintendent Determination of Graduation With a Local Diploma - New York, Page 3
Prev 1 2 3 Next
ADVERTISEMENT