Beck's Depression Inventory Questionnaire Template

Beck's Depression Inventory Questionnaire Template

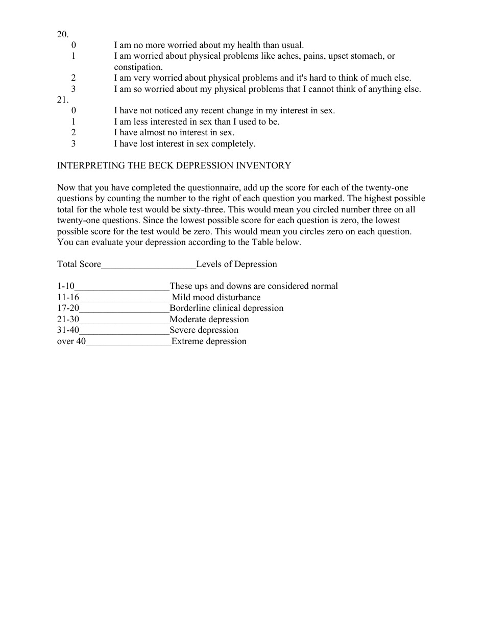
The Beck's Depression Inventory questionnaire template is used to assess the severity of depression in individuals. It helps healthcare professionals in determining the level of depression and planning appropriate treatment options.

The Beck's Depression Inventory questionnaire is typically filed by the individual who is completing the questionnaire.

FAQ

Q: What is the Beck's Depression Inventory?
A: The Beck's Depression Inventory is a questionnaire used to measure the severity of depression symptoms.

Q: How does the Beck's Depression Inventory work?
A: The Beck's Depression Inventory consists of 21 questions that ask about various symptoms of depression. The individual rates each statement on a scale of 0 to 3 based on how much they relate to their own experience.

Q: What is the purpose of using the Beck's Depression Inventory?
A: The Beck's Depression Inventory is used by healthcare professionals to assess the level of depressive symptoms in an individual and aid in diagnosis and treatment planning.

Q: Is the Beck's Depression Inventory a diagnostic tool?
A: No, the Beck's Depression Inventory is not a diagnostic tool. It provides an indication of the severity of depressive symptoms, but a formal diagnosis of depression should be made by a qualified healthcare professional.

Q: Can the Beck's Depression Inventory be used for self-assessment?
A: Yes, individuals can use the Beck's Depression Inventory as a self-assessment tool to gain awareness of their own depressive symptoms. However, it is recommended to consult with a healthcare professional for an accurate diagnosis and treatment.

Q: Are there different versions of the Beck's Depression Inventory?
A: Yes, there are different versions of the Beck's Depression Inventory for specific populations, such as adolescents or individuals with chronic pain. Each version has been modified to suit the unique characteristics of the target population.

ADVERTISEMENT

Download Beck's Depression Inventory Questionnaire Template

4 of 5 (31 votes)
  • Beck's Depression Inventory Questionnaire Template

    1

  • Beck's Depression Inventory Questionnaire Template, Page 2

    2

  • Beck's Depression Inventory Questionnaire Template, Page 3

    3

  • Beck's Depression Inventory Questionnaire Template Preview
  • Becks Depression Inventory Questionnaire Template, Page 2
  • Becks Depression Inventory Questionnaire Template, Page 3
Prev 1 2 3 Next
ADVERTISEMENT