Army
Business
Legal
Letters
Life
Real Estate
Tax
Wills
Blog
Upload
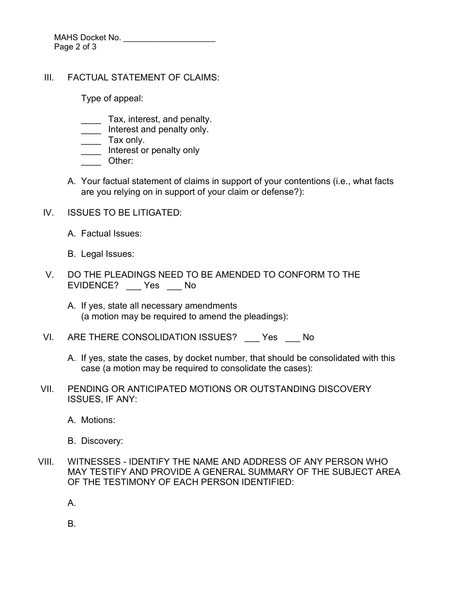
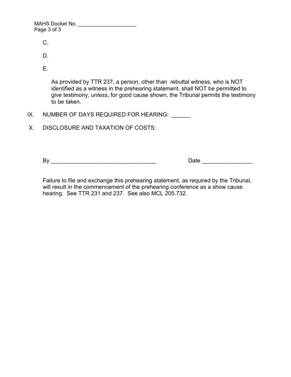
Non-property Prehearing Statement - Michigan
Fill
PDF
Online
PDF
Word
Army
Business
Legal
Letters
Life
Real Estate
Tax
Wills
Blog
Upload
Home
Legal
United States Legal Forms
Michigan Legal Forms
Michigan Department of Licensing and Regulatory Affairs
Non-property Prehearing Statement - Michigan
Non-property Prehearing Statement - Michigan
Preview
Fill
PDF
Online
PDF
Word
Fill PDF Online
Fill out online for free
without registration or credit card
ADVERTISEMENT
Download Non-property Prehearing Statement - Michigan
4.3
of 5
(
33 votes
)
PDF
Word
Fill PDF Online
1
2
3
Prev
1
2
3
Next
ADVERTISEMENT
Linked Topics
Michigan Department of Licensing and Regulatory Affairs
Michigan Legal Forms
Legal
United States Legal Forms
Preview
Fill
PDF
Online
PDF
Word
Related Documents
Property Prehearing Statement - Michigan