Army
Business
Legal
Letters
Life
Real Estate
Tax
Wills
Blog
Upload
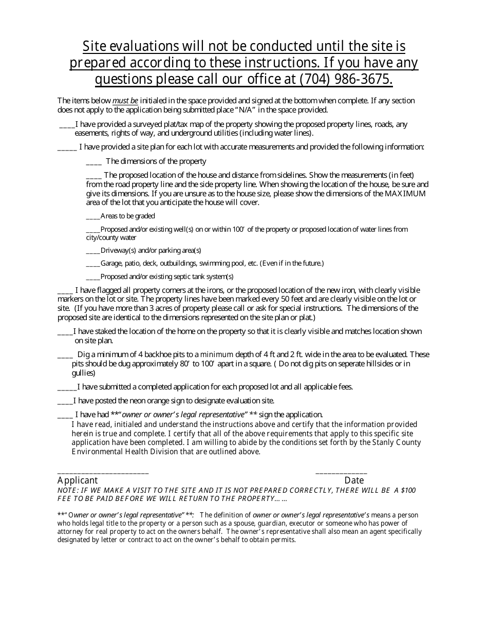
Soil / Site Evaluation Procedures - Stanly County, North Carolina
Fill
PDF
Online
PDF
Word
Army
Business
Legal
Letters
Life
Real Estate
Tax
Wills
Blog
Upload
Home
Legal
United States Legal Forms
North Carolina Legal Forms
Health Department - Stanly County, North Carolina
Soil/Site Evaluation Procedures - Stanly County, North Carolina
Soil / Site Evaluation Procedures - Stanly County, North Carolina
Preview
Fill
PDF
Online
PDF
Word
Fill PDF Online
Fill out online for free
without registration or credit card
ADVERTISEMENT
Download Soil / Site Evaluation Procedures - Stanly County, North Carolina
4.4
of 5
(
33 votes
)
PDF
Word
Fill PDF Online
1
2
3
4
Prev
1
2
3
4
Next
ADVERTISEMENT
Linked Topics
Land Evaluation
Soil Composition
Health Department - Stanly County, North Carolina
Soil Properties
Soil Health
Soil Fertility
Site Evaluation
Land Assessment
Soil Analysis
Soil Test
North Carolina Legal Forms
Legal
United States Legal Forms
Preview
Fill
PDF
Online
PDF
Word
Related Documents
Social Services Assessment and Evaluation - Individual Indian Monies (Iim)
OC-ALC Form 104 Assessment of Employee Views on and Evaluation of Effectiveness of the Shop Respiratory Protection Program
Rapid Building and Site Condition Assessment Form
AFTO Form 760 Personnel Evaluations (Pe) Assessment
Certification of Preliminary Site Evaluation