Application for Issuance or Renewal of a Certificate to Work as a Boiler / Pressure Vessel Special Inspector - Nevada

Notification Icon This version of the form is not currently in use and is provided for reference only. Download this version of the document for the current year.

Application for Issuance or Renewal of a Certificate to Work as a Boiler / Pressure Vessel Special Inspector - Nevada

ADVERTISEMENT

Download Application for Issuance or Renewal of a Certificate to Work as a Boiler / Pressure Vessel Special Inspector - Nevada

4.5 of 5 (35 votes)
  • Application for Issuance or Renewal of a Certificate to Work as a Boiler/Pressure Vessel Special Inspector - Nevada

    1

  • Application for Issuance or Renewal of a Certificate to Work as a Boiler/Pressure Vessel Special Inspector - Nevada, Page 2

    2

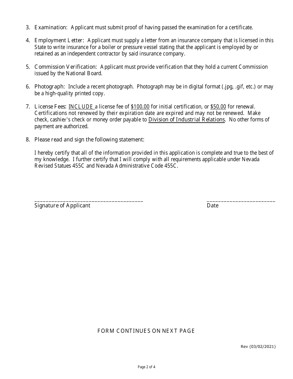
  • Application for Issuance or Renewal of a Certificate to Work as a Boiler/Pressure Vessel Special Inspector - Nevada, Page 3

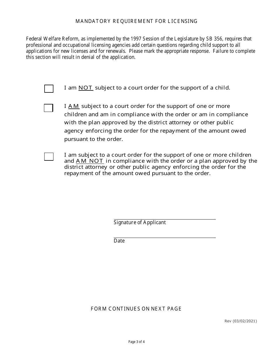
    3

  • Application for Issuance or Renewal of a Certificate to Work as a Boiler/Pressure Vessel Special Inspector - Nevada, Page 4

    4

  • Application for Issuance or Renewal of a Certificate to Work as a Boiler / Pressure Vessel Special Inspector - Nevada, Page 1
  • Application for Issuance or Renewal of a Certificate to Work as a Boiler / Pressure Vessel Special Inspector - Nevada, Page 2
  • Application for Issuance or Renewal of a Certificate to Work as a Boiler / Pressure Vessel Special Inspector - Nevada, Page 3
  • Application for Issuance or Renewal of a Certificate to Work as a Boiler / Pressure Vessel Special Inspector - Nevada, Page 4
Prev 1 2 3 4 Next
ADVERTISEMENT

Related Documents