Sponsor Monitoring Form (Affiliated and Unaffiliated Centers) - Child Adult Care Food Program - Washington

Sponsor Monitoring Form (Affiliated and Unaffiliated Centers) - Child Adult Care Food Program - Washington

ADVERTISEMENT

Download Sponsor Monitoring Form (Affiliated and Unaffiliated Centers) - Child Adult Care Food Program - Washington

4.8 of 5 (22 votes)
  • Sponsor Monitoring Form (Affiliated and Unaffiliated Centers) - Child Adult Care Food Program - Washington

    1

  • Sponsor Monitoring Form (Affiliated and Unaffiliated Centers) - Child Adult Care Food Program - Washington, Page 2

    2

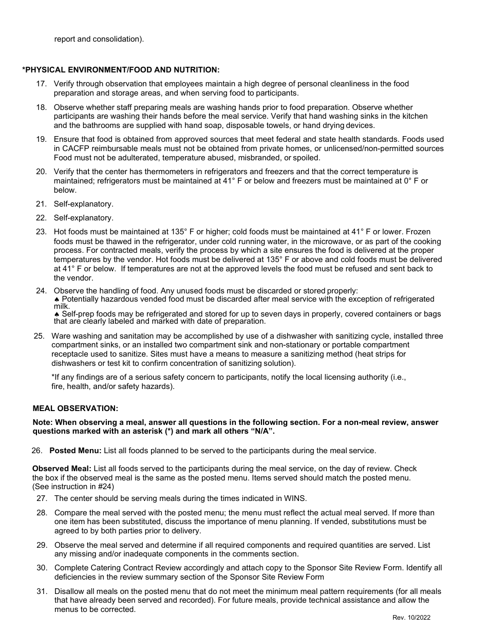
  • Sponsor Monitoring Form (Affiliated and Unaffiliated Centers) - Child Adult Care Food Program - Washington, Page 3

    3

  • Sponsor Monitoring Form (Affiliated and Unaffiliated Centers) - Child Adult Care Food Program - Washington, Page 4

    4

  • Sponsor Monitoring Form (Affiliated and Unaffiliated Centers) - Child Adult Care Food Program - Washington, Page 5

    5

  • Sponsor Monitoring Form (Affiliated and Unaffiliated Centers) - Child Adult Care Food Program - Washington, Page 6

    6

  • Sponsor Monitoring Form (Affiliated and Unaffiliated Centers) - Child Adult Care Food Program - Washington, Page 7

    7

  • Sponsor Monitoring Form (Affiliated and Unaffiliated Centers) - Child Adult Care Food Program - Washington, Page 8

    8

  • Sponsor Monitoring Form (Affiliated and Unaffiliated Centers) - Child Adult Care Food Program - Washington, Page 9

    9

  • Sponsor Monitoring Form (Affiliated and Unaffiliated Centers) - Child Adult Care Food Program - Washington, Page 10

    10

  • Sponsor Monitoring Form (Affiliated and Unaffiliated Centers) - Child Adult Care Food Program - Washington, Page 11

    11

  • Sponsor Monitoring Form (Affiliated and Unaffiliated Centers) - Child Adult Care Food Program - Washington, Page 12

    12

  • Sponsor Monitoring Form (Affiliated and Unaffiliated Centers) - Child Adult Care Food Program - Washington, Page 1
  • Sponsor Monitoring Form (Affiliated and Unaffiliated Centers) - Child Adult Care Food Program - Washington, Page 2
  • Sponsor Monitoring Form (Affiliated and Unaffiliated Centers) - Child Adult Care Food Program - Washington, Page 3
  • Sponsor Monitoring Form (Affiliated and Unaffiliated Centers) - Child Adult Care Food Program - Washington, Page 4
  • Sponsor Monitoring Form (Affiliated and Unaffiliated Centers) - Child Adult Care Food Program - Washington, Page 5
  • Sponsor Monitoring Form (Affiliated and Unaffiliated Centers) - Child Adult Care Food Program - Washington, Page 6
  • Sponsor Monitoring Form (Affiliated and Unaffiliated Centers) - Child Adult Care Food Program - Washington, Page 7
  • Sponsor Monitoring Form (Affiliated and Unaffiliated Centers) - Child Adult Care Food Program - Washington, Page 8
  • Sponsor Monitoring Form (Affiliated and Unaffiliated Centers) - Child Adult Care Food Program - Washington, Page 9
  • Sponsor Monitoring Form (Affiliated and Unaffiliated Centers) - Child Adult Care Food Program - Washington, Page 10
  • Sponsor Monitoring Form (Affiliated and Unaffiliated Centers) - Child Adult Care Food Program - Washington, Page 11
  • Sponsor Monitoring Form (Affiliated and Unaffiliated Centers) - Child Adult Care Food Program - Washington, Page 12
Prev 1 2 3 4 5 ... 12 Next
ADVERTISEMENT

Related Documents