Army
Business
Legal
Letters
Life
Real Estate
Tax
Wills
Blog
Upload
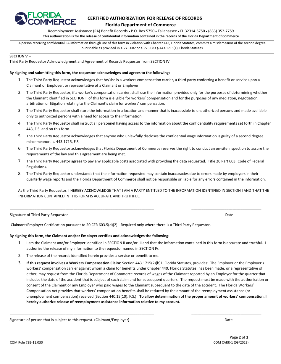
Form COM CARR-1 Certified Authorization for Release of Records - Florida
Fill
PDF
Online
PDF
Word
Army
Business
Legal
Letters
Life
Real Estate
Tax
Wills
Blog
Upload
Home
Legal
United States Legal Forms
Florida Legal Forms
Florida Department of Commerce
Form COM CARR-1 Certified Authorization for Release of Records - Florida
Form COM CARR-1 Certified Authorization for Release of Records - Florida
Preview
Fill
PDF
Online
PDF
Word
Fill PDF Online
Fill out online for free
without registration or credit card
ADVERTISEMENT
Download Form COM CARR-1 Certified Authorization for Release of Records - Florida
4.8
of 5
(
32 votes
)
PDF
Word
Fill PDF Online
1
2
Prev
1
2
Next
ADVERTISEMENT
Linked Topics
Florida Department of Commerce
Florida Legal Forms
Legal
United States Legal Forms
Preview
Fill
PDF
Online
PDF
Word
Related Documents
Authorization to Release Medical Records
Form COM CARR-1 Certified Authorization for Release of Records - Florida (Haitian Creole)
Form DEO CARR-1 Certified Authorization for Release of Records - Florida
Formulario COM CARR-1 Autorizacion Certificada De La Liberacion De Los Registros - Florida (Spanish)
DA Form 5459 Authorization to Release Information From Army Records on Nonsupport/Child Custody/Parentage Inquiries
DOE Form 470.5 Authorization and Consent to Release Human Reliability Program (Hrp) Records in Connection With Hrp
NOAA Form 56-67 Authorization for Release of Medical Records (From CPC)
FAA Form 8060-12 Authorization for Release of Dot Drug and Alcohol Testing Records Under Pria and Maintained Under Title 49 Code of Federal Regulations (49 Cfr) Part 40