Army
Business
Legal
Letters
Life
Real Estate
Tax
Wills
Blog
Upload
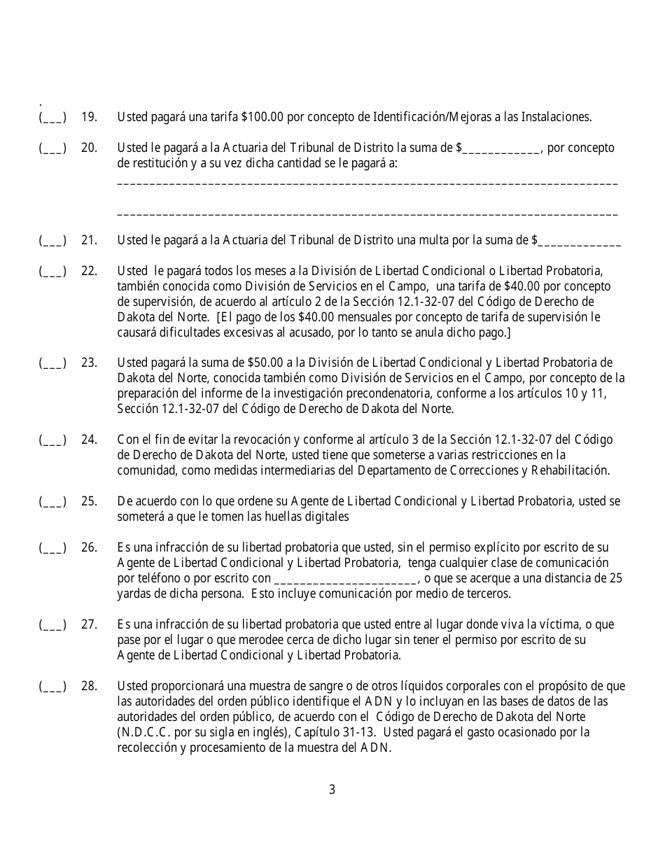
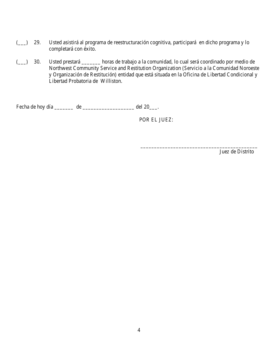
Apendice A Delito Menor - North Dakota (Spanish)
Fill
PDF
Online
PDF
Word
Army
Business
Legal
Letters
Life
Real Estate
Tax
Wills
Blog
Upload
Home
Legal
United States Legal Forms
North Dakota Legal Forms
North Dakota Courts
Apendice A Delito Menor - North Dakota (Spanish)
Apendice A Delito Menor - North Dakota (Spanish)
Preview
Fill
PDF
Online
PDF
Word
Fill PDF Online
Fill out online for free
without registration or credit card
ADVERTISEMENT
Download Apendice A Delito Menor - North Dakota (Spanish)
4.3
of 5
(
30 votes
)
PDF
Word
Fill PDF Online
1
2
3
4
5
6
Prev
1
2
3
4
5
6
Next
ADVERTISEMENT
Linked Topics
North Dakota Courts
North Dakota Legal Forms
Legal
United States Legal Forms
Preview
Fill
PDF
Online
PDF
Word
Related Documents
Apendice F Solicitud Para Certificacion Unificada - Empresa De Personas Desfavorecidas (Dbe) Empresa De Personas Desfavorecidas Concesionario En Un Aeropuerto (Spanish)
Apendice A Terminos Y Condiciones De Libertad Condicional/Libertad Probatoria - North Dakota (Spanish)
Formulario HUD-90102 Apendice 6-B Ejemplo De Verificacion De Discapacidad Cuando Elcumplimiento De Los Requisitos Para La Admision O La Calificacion Paraciertas Deducciones Impositivas Se Basa En La Discapacidadpara Utilizar Junto Con La Seccion 202/8, La Seccion 202 Del Contrato Deasistencia Al Proyecto (Pac, Por Sus Siglas En Ingles), La Seccion 202 Del Contrato De Asistencia De Alquiler Al Proyecto (Prac, Por Sus Siglas Eningles) Y La Seccion 811 Del Prac (Spanish)
Formulario HUD-91067 Apendice De Arrendamiento - Ley De Reautorizacion Del Departamento De Justicia Y Violencia Contra Las Mujeres De 2005 (Spanish)
Formulario HUD-40030 Reclamo De Gastos Por Reubicacion Temporaria (Mudanzas Residenciales) (Apendice a, Titulo 49 Del Cfr, Articulo 24.2(A)(9)(II)(D)) (Spanish)
Queja Alegato De Que Un Empleado Del Departamento De Justicia No Ha Otorgado Derechos a Una Victima Del Delito De Acuerdo Con La Ley De Derechos De Victimas Del Delito De 2004 (Spanish)