Army
Business
Legal
Letters
Life
Real Estate
Tax
Wills
Blog
Upload
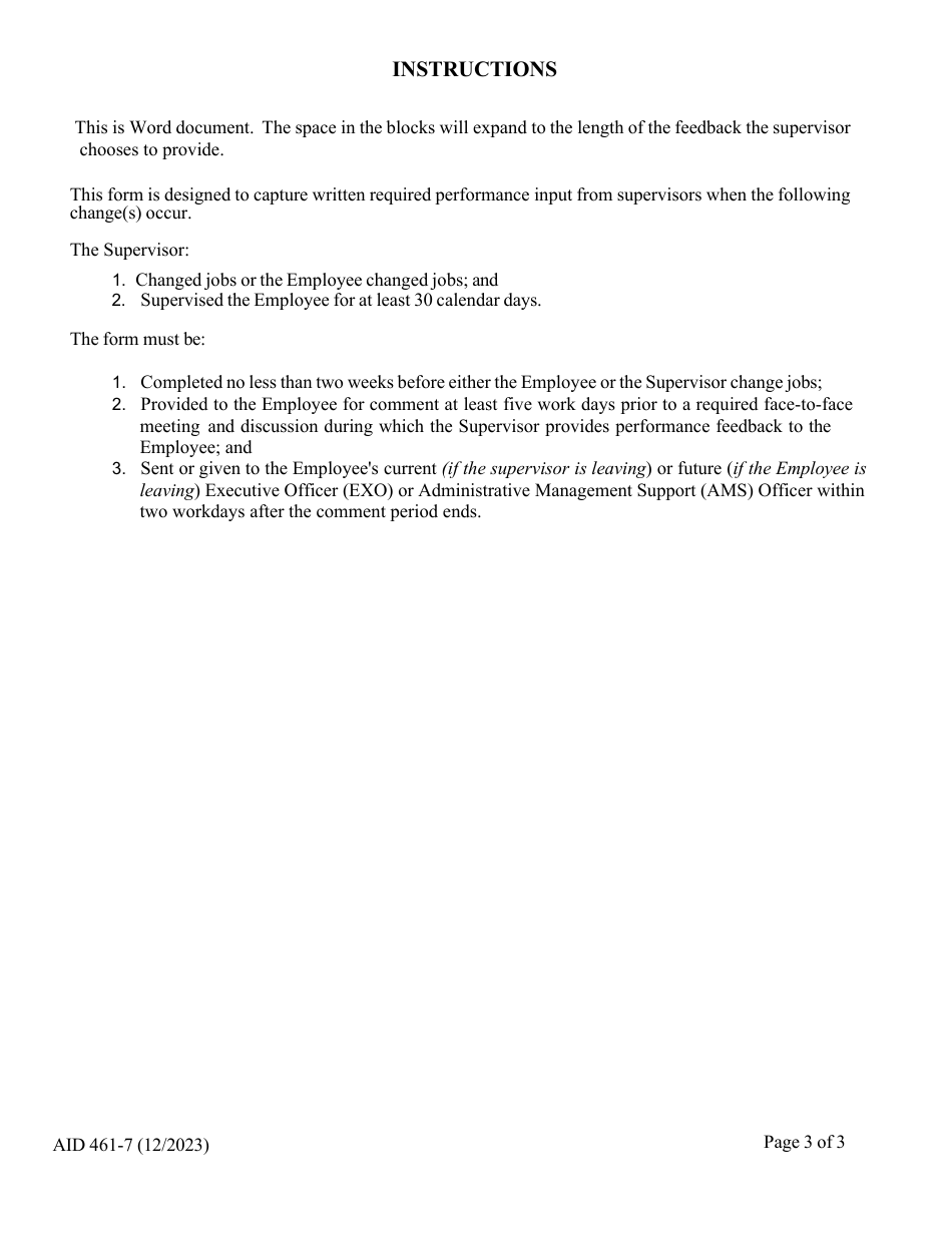
Form AID461-7 Appraisal Input Form (Aif)
Fill
PDF
Online
PDF
Word
Army
Business
Legal
Letters
Life
Real Estate
Tax
Wills
Blog
Upload
Home
Legal
United States Legal Forms
United States Federal Legal Forms
U.S. Department of State
U.S. Agency for International Development
Form AID461-7 Appraisal Input Form (Aif)
Form AID461-7 Appraisal Input Form (Aif)
Preview
Fill
PDF
Online
PDF
Word
Fill PDF Online
Fill out online for free
without registration or credit card
ADVERTISEMENT
Download Form AID461-7 Appraisal Input Form (Aif)
4.4
of 5
(
30 votes
)
PDF
Word
Fill PDF Online
1
2
3
Prev
1
2
3
Next
ADVERTISEMENT
Linked Topics
U.S. Agency for International Development
U.S. Department of State
United States Federal Legal Forms
Legal
United States Legal Forms
Preview
Fill
PDF
Online
PDF
Word
Related Documents
Form AID462-4 Annual Evaluation Form - Civil Service Appraisal Input Form (Aif) for Non-supervisory and Supervisory Staff